난류
난류 대화상자에서는 난류를 활성화 또는 비활성화로 설정하고, 난류 모형을 선택하고, 난류 모형 매개변수를 수정합니다.
층류 유동을 시뮬레이션하려면 층류를 선택합니다.
난류 흐름을 시뮬레이션하려면 난류(기본값)를 선택합니다. 대부분의 엔지니어링 흐름은 난류입니다.
해석을 층류로 실행해야 하는지 아니면 난류로 실행해야 하는지 명확하지 않을 경우 먼저 층류를 시도합니다. 흐름이 실제로 난류인 경우 해석은 일반적으로 처음 10-15회 반복 내에서 분기됩니다. 난류 설정을 변경하고 반복 0부터 다시 시작합니다.
난류 모형
다음 표에는 사용 가능한 난류 모형, 제안된 사용 및 일부 추가 정보가 나열되어 있습니다.
난류 모형 | 권장 사용 | 주 |
K-epsilon | 대부분의 적용 분야에 적합 | |
SST k-omega | - 외부 공기 역학
- 분리된 흐름
- 역방향 압력 그라데이션 흐름
| - SST는 벽 기능을 사용하지 않고 벽까지 이르는 난류를 시뮬레이션합니다.
- 메쉬는 경계 도면층 영역에서 매우 미세해야 합니다.
- 벽 레이어 대화상자를 사용하여 최대 10개의 레이어를 추가할 수 있습니다.
- 자세한 내용은 아래 참고를 참조하십시오.
|
SST k-omega SAS(축척 가변 시뮬레이션) | 다음과 같은 과도 난류 구조의 흐름 |
- SST K-오메가 SAS를 사용하여 안정 상태 시뮬레이션을 실행할 수 있습니다. 난류 구조를 애니메이션할 수 없지만, 이 모형은 안정 상태 K-epsilon 시뮬레이션보다 향상된 형성 및 쉐이프를 예측합니다.
- 메쉬는 경계 도면층 영역에서 매우 미세해야 합니다. 벽 레이어 대화상자를 사용하여 최대 10개의 레이어를 추가할 수 있습니다.
|
SST k-omega RC(Smirnov-Menter) | 사이클론 분리기에서 흔히 볼 수 있는 높은 곡률 흐름 |
- 회전 및 곡률(RC)을 수정한 Menter의 2차 방정식 모형입니다.
- 계산 작업이 많으며, 미세한 메쉬가 필요합니다.
- 경우에 따라 이 모형에는 수렴을 위해 수천 번의 반복이 필요할 수 있습니다.
|
SST k-omega RC(Hellsten) | - NACA0012 및 Coanda 에어포일을 포함한 특정 에어포일
- 작은 고속 회전 장치
- 굴곡이 심한 흐름 및 볼록 표면 위
|
- Hellsten의 단순 회전/곡률 보정을 사용하는 Menter SST 2차 방정식 모형입니다.
- 다른 난류 모형으로 분리 점을 예측하기 어려운 볼록한 표면에 대한 적절한 흐름 예측을 보여 줍니다.
|
SST K-omega DES(분리형 Eddy 시뮬레이션) | 외부 공기 역학이 흐르는 분리된 높은 레이놀즈 수 |
- SST K-오메가와 큰 Eddy 시뮬레이션(LES) 모형 사이에 있는 하이브리드입니다.
- 계산 작업이 많으며, 메쉬 분포의 영향을 받습니다.
- 균일한 메쉬 분포에 가장 잘 작동합니다.
|
RNG | 별도의 흐름, 특히 역방향 직면 단계의 유량에 대한 재부착 점입니다. | - 계산 작업이 훨씬 많지만, K-epsilon 모형보다 조금 더 정확합니다.
- 주로 K-epsilon 모형으로 시작하고 흐름이 대부분 수렴되면 RNG 흐름으로 전환하는 것이 좋습니다.
|
낮은 레이놀즈 수 K-epsilon | - 레이놀즈 수가 1,500과 5,000 사이인 저속 난류 흐름
- 저속 영역과 고속 영역이 모두 있는 흐름
- 층류에서 난류로 흐름이 변환되는 파이프 흐름 및 외부 유체 역학 흐름
- 흐름이 느리게 이동하는 큰 룸으로 들어가는 고속 제트
- 거의 난류가 아닌 부력 구동(자연 대류) 흐름
| - 이 모형은 벽 기능을 사용하지 않습니다. 최소 5개의 벽 레이어를 사용합니다.
- K-epsilon보다 안정적일 수 있습니다.
- 수렴을 위해 K-epsilon보다 더 많은 반복이 필요합니다.
- 일반적으로 고속 흐름에 대해 K-epsilon과 동일한 솔루션을 생성합니다.
- 층류 유동에 대한 층류 선택에 대해 유사한 결과를 생성합니다.
|
혼합 길이 | 일부 내부 자연 대류 해석 | - 경우에 따라 내부 부력 구동 흐름에 대한 실행 시간을 줄이고 정확도를 향상시킵니다.
- 가스 흐름(예: 공기)용으로 설계되었으며 액체 흐름에 대해서는 좋은 결과를 산출하지 않습니다.
|
Eddy 점도 | 저속 난류 흐름 및 일부 부력 흐름 | - K-epsilon 모형보다 덜 엄격하고 수치상 훨씬 안정적입니다.
- 다른 모형 중 하나에 발산이 발생하는 경우 유용합니다.
|
SST K-omega에 대한 추가 정보
SST 모형은 Wilcox K-omega와 K-epsilon 모형 변형의 혼합체입니다. 이 모형에는 다음과 같은 이점이 있습니다.
- SST 모형은 다른 여러 난류 모형보다 자유 스트림 조건(경계 도면층 외부 흐름)의 영향을 덜 받습니다.
- 이러한 모형은 전단 응력 제한기를 사용하여 정체 지점 주변에 과도한 난류 운동 에너지가 축적되지 않도록 합니다.
- SST 모형은 SAS 및 층류-난류 변환과 같은 추가 확장을 위한 플랫폼을 제공합니다.
- 벽 거칠기 값이 재료 정의에 규정된 경우 SST 모형은 벽 거칠기 효과를 고려합니다. 벽 거칠기를 시뮬레이션하려면 난류 대화상자에서 고급... 버튼을 클릭하고 지능형 벽 형식화의 선택을 취소하여 지능형 벽 형식화를 사용 안 함으로 설정합니다.
자동 시작
자동 시작은 ATSU(자동 난류 시작) 알고리즘을 제어합니다.
이 알고리즘은 여러 단계를 거쳐 난류 흐름 솔루션을 얻습니다. 이 알고리즘은 일정한 Eddy 점도 모형을 사용해 10회 반복을 실행하여 시작되므로, k 및 epsilon 방정식은 해결되지 않습니다. 이 솔루션을 초기 추측으로 사용하여 2차 방정식 난류 모형을 시작합니다. 반복 10회에서 k 및 epsilon 방정식에 대해 수렴 모니터링 데이터의 스파이크가 표시됩니다. 그런 다음 다른 단계를 수행하여 점진적으로 수렴 결과에 도달합니다. 이러한 단계에는 반복 10, 20 및 50에서 수렴 모니터링 데이터에 스파이크가 포함될 수 있습니다. 50회 반복 후 ATSU가 자동으로 꺼집니다.
잠금 켜기를 선택한 경우 사용자가 수동으로 클릭하여 끌 때까지 ATSU가 전체 해석 중에 유지됩니다. 반복 50 이후 수렴 문제가 있을 경우(10회 반복 내에 분기) 잠금 켜기를 사용으로 설정해야 합니다. ATSU가 켜진 경우 적어도 200회 이상 실행해야 난류 흐름 솔루션의 수렴이 보장됩니다.
연장을 선택한 경우 ATSU의 확장된 버전이 활성화됩니다. 이 방법은 까다로운 해석에 유용하며, 특히 압축 해석에 유용합니다. 이 알고리즘을 사용하여 실행해야 하는 최소 반복 횟수는 400입니다.
난류/층류 비율
난류/층류 비율은 유효(난류) 점도와 층류 값의 비율입니다. 이 비율은 난류 흐름 해석 시작 시 유효 점도를 예상하는 데 사용됩니다. 대부분의 난류 흐름 해석에서 유효 점도는 층류 값보다 100-1000배 큽니다. 기본값은 일반적으로 대부분의 흐름에 적합합니다.
혼합 길이 모형에서 난류/층류 비율은 Eddy 점도에 대한 상한입니다. 자유 스트림 Eddy 점도는 이 값에서 최대가 됩니다.
Eddy 점도 모형의 경우 다시 시작 시 변경해도 이 점도는 Eddy 점도가 됩니다.
다른 모든 난류 모형(K-Epsilon, RNG, 낮은 레이놀즈 수)에서 지정된 값이 Eddy 점도의 시작 점이거나 초기 값이 됩니다.
큰 천장으로 고속 제트를 보내는 흐름에 대해서는 난류/층류 비율을 1000 또는 10,000으로 늘리는 것이 유용합니다. 그러한 흐름은 일반적으로 모멘텀으로 구동되며, 계산 시작 시 난류 점도가 큰 경우 유용합니다.
고급 매개변수
난류 모형을 "미세 조정"하는 여러 추가 매개변수는 고급... 대화상자에서 사용할 수 있습니다. 대부분의 매개변수는 난류 흐름 이론 설명에 설명되어 있고, 2차 방정식 난류 이론을 잘 모르는 경우 매개변수를 수정해서는 안 됩니다. 하지만 다음 매개변수를 사용하면 보다 유연하게 수정할 수 있습니다.
난류 강도
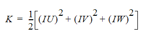
난류 강도 비율은 유입 스트림의 난류 운동 에너지 양을 제어합니다. 기본값은 0.05이며, 거의 0.5를 초과하지 않아야 합니다. 입구에서 난류 운동 에너지를 계산하는 데 사용되는 표현식은 다음과 같습니다.

I는 강도 비율이고, u, v, w는 속도 구성요소입니다.
지능형 벽 공식화
지능형 벽 형식화는 SST 난류 모형으로 안정성과 정확도를 향상시키는 확장 가능한 벽 형식화입니다. 벽을 따라 메쉬 미세 조정 수준으로 결과 감도를 줄입니다.
지능형 벽 형식화는 기본적으로 이 SST K-omega 모형에 사용됩니다.
또한 지능형 벽 형식화를 K-epsilon에 사용할 수 있습니다. 다음 시나리오에서 제대로 작동하는 것으로 나타났습니다.
- 메쉬 적용을 사용하면 K-epsilon을 사용한 지능형 벽 형식화는 메쉬가 미세 조정될 때 성능 저하가 나타나지 않습니다.
- K-epsilon을 사용한 지능형 벽 형식화는 하위 도면층(<35) 아래로 떨어지는 Y+ 값에 대한 감도를 제거합니다.
- K-epsilon을 사용한 지능형 벽 형식화는 일부 시뮬레이션에 대해 정확도 및 수렴 속도를 향상시키는 것으로 확인되었습니다.
관련 항목
고급 설정
수학 기본 사항