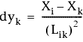
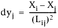
Zmiany współrzędnych obserwacji wyrażone są za pomocą aproksymacji szeregiem Taylora równania obserwacji kąta:
gdzie
- Lij = obserwowana długość odcinka IJ
- Lik = obserwowana długość odcinka IK
- Lik = obserwowana długość odcinka IK
- Xi, Yi = najbardziej prawdopodobne współrzędne punktu I
- Xj, Yj = najbardziej prawdopodobne współrzędne punktu J
- Xk, Yk = najbardziej prawdopodobne współrzędne punktu K
Na poniższym rysunku przedstawiono geometrię równania obserwacji kąta: