Opis algorytmu dla obliczania wartości współczynnika zastępczego K

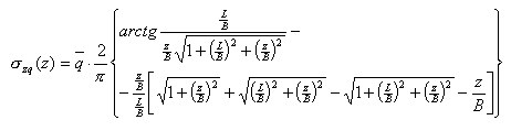
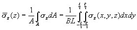
Procedura obliczania współczynnika K jest następująca:

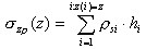
Obliczenia są wykonywane aż do uzyskania poziomu Zn:

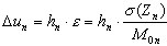
Obliczony współczynnik sztywności wynosi K = 1 / ∆u. Współczynnik sztywności K odpowiada jednostkowemu obciążeniu powierzchni.