Analiza szczegółowa — wymiarowanie prętów drewnianych (EC5)

Opcja umożliwia szczegółową analizę prętów drewnianych. Opcję tę można uruchomić naciskając przycisk Szczegółowa znajdujący się w oknie dialogowym wyników szczegółowych dla normy EC5.

Program pozwala przeprowadzić dodatkowe obliczenia na podstawie wymogów opisanych w normie EUROCODE 5:

Program pozwala przeprowadzić dodatkowe obliczenia na podstawie wymogów opisanych w normie EUROCODE 5:

Każda z wymienionych analiz pręta prowadzona jest niezależnie, stąd też każda z nich może być uruchomiona osobno.

Okno dialogowe składa się z trzech kart:

Karta Ściskanie poprzeczne

Na długości belki zdefiniowane może zostać obciążenie poprzeczne. Po wyznaczeniu wartości współczynnika Kc,90 sprawdzany jest wartość naprężenia przy ściskaniu poprzecznym (patrz EC5 5.1.5).

Karta Otwory

Na długości belki zdefiniowane mogą zostać otwory; służą temu pola:

Położenie (należy podać położenie otworów na długości belki we współrzędnych rzeczywistych lub względnych) i

Średnica otworu. Na podstawie zdefiniowanych wartości średnicy otworów określana jest wartość współczynnika Khol:

Na długości belki zdefiniowane mogą zostać otwory; służą temu pola:

Położenie (należy podać położenie otworów na długości belki we współrzędnych rzeczywistych lub względnych) i

Średnica otworu. Na podstawie zdefiniowanych wartości średnicy otworów określana jest wartość współczynnika Khol:

jeżeli b < = 90 mm, to

gdy D/h <= 0,1 : Khol = 1—0,555 (D/h) 3

gdy D/h >0,1 : Khol = 1,62/ (1,8+D/h) 2

jeżeli b > 90 mm, to

gdy D/h <= 0,1 : Khol = (1—0,555 (D/h) 3 ) x (90/b) 2

gdy D/h >0,1 : Khol = (1,62/ (1,8+D/h) 2 x (90/b) 2

Po wyznaczeniu wartości współczynnika Khol sprawdzany jest warunek na ścinanie (patrz EC5 5.1.7).

Karta Przecięcia

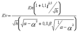
Na podstawie wartości parametrów geometrycznych zakończenia belki (dwie możliwości przedstawiono poniżej) wyznaczany jest współczynnik Kv z następującego wzoru:

gdzie:

i= Lb/(h—he) (i=0 dla pierwszego typu podparcia)

a= he/h

b=La/h.

Po wyznaczeniu wartości współczynnika Kv sprawdzany jest warunek na ścinanie (patrz EC5 5.1.7).

Na każdej z kart znajduje się opcja Uwzględnij w obliczeniach. Jeżeli ta opcja jest wyłączona, to analiza (np. ścinania poprzecznego) nie będzie wykonywana i nie będą dostępne żadne opcje na tej karcie. Jeśli opcja Uwzględnij w obliczeniach jest włączona na którejś z kart, to analiza (np. ścinania poprzecznego) zostanie przeprowadzona po zdefiniowaniu kilku parametrów.

Po zdefiniowaniu parametrów dostępnych w oknie dialogowym i naciśnięciu przycisku Oblicz przeprowadzana jest dodatkowa analiza prętów drewnianych. Po jej zakończeniu uruchamiana jest notka obliczeniowa z wynikami wykonanych obliczeń.