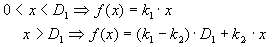
Model biliniowy

Parametry modelu biliniowego określone dla dodatnich argumentów x>0 (podawana jest również wartość pochodnej niezbędnej do określenia sztywności).

Funkcja:

Pochodna (sztywność):

Ograniczenia: