Основные формулы расчета для тормозов

Входные параметры

Сила на входе: F

Наружный диаметр: D

Внутренний диаметр: D 0 (только для дисковых и конусных тормозов)

Ширина: b

Угол конуса: β (только для конусных тормозов)

Количество тормозов (поверхностей тормозов): N

Давление торможения (макс.): p (Max.)

Давление торможения. Скорость (макс.): p.v (Max.)

Начальная скорость: n 0

Конечная скорость: n 1

Начальная энергия: E, см. главу Расчет энергии

Расчетные параметры

Сила трения

для ленточных тормозов

 

F t = F (e fα - 1)

для других

 

F t = F n f

Где:

  α Длина по углу
  f Коэффициент трения
  F n Нормальная сила
  для дисковых тормозов:
 

F n = F / sin (β)

  для других типов:
 

F n = F

Расчет тормозного момента

T = 0,5 D e F t

Где:

 

D e

эквивалентный диаметр

   

для конусных и дисковых тормозов

   
   

для других D e = D

Расчет давления

Где:

 

A = N b L

поверхность тормоза

   

b

ширина

 
   

L = 0,5 D s α

длина

 
      α

угол

     

D s

средний диаметр, для конусных и дисковых тормозов D s = 0,5 (D + D 0 )

       

для других D s = D

Неточная проверка нагрева тормоза

p p (M ax. )

p v p v (M ax. )

Где:

 

v = π D n 0 / 60

начальная окружная скорость

     

Расчет времени торможения

Где:

 

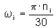
сокращенный момент инерции

 

скорость/обороты [рад/с]

Число оборотов до остановки

Силы на выходе F0

только для ленточных тормозов:

F 0 = F + F t = F e fα