Временные нагрузки

0

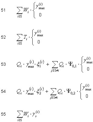
Нет правила. Используется, когда правило с формуле сочетаний для типа заданной нагрузки не определено.

Правило не распространяется на подтипы.

Прим.: Формула допускает один коэффициент ψ 0,1 и один коэффициент ψ K для всех подтипов
Прим.: Формула допускает один коэффициент ψ 0,1 и один коэффициент ψ K для всех подтипов.
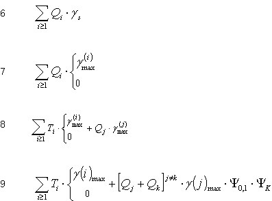
Прим.: Формула допускает один коэффициент ψ 0,3 для всех подтипов.
Прим.: Формула допускает один коэффициент ψ 0,3 и один коэффициент ψ K для всех подтипов.
Прим.: Формула допускает один коэффициент ψ 0,1 и один коэффициент ψ K для всех подтипов.
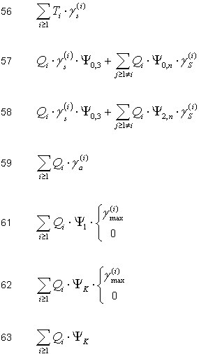
Прим.: Формула допускает один коэффициент ψ0,2 и один коэффициент ψ 2, n для всех подтипов.
Прим.: Формула допускает один коэффициент Y 0,3 и один коэффициент ψ 0,2 для всех подтипов.
Прим.: Формула допускает один коэффициент ψ 0,3 и один коэффициент ψ 0,2 для всех подтипов.
Прим.: Формула допускает один коэффициент ψ 0,3 и один коэффициент ψ0,2 для всех подтипов.
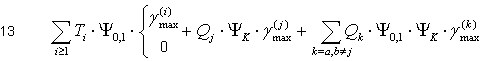
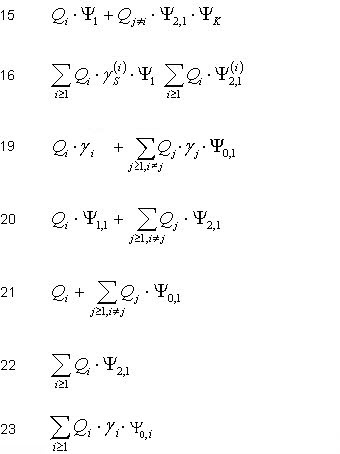
Прим.: Формула допускает один коэффициент ψ K для всех подтипов.
Прим.: Формула допускает один коэффициент ψ K для всех подтипов.
Прим.: Формула допускает один коэффициент ψ K для всех подтипов.
Прим.: Формула допускает один коэффициент ψ K для всех подтипов.
Прим.: Формула допускает один коэффициент ψ для всех подтипов.
Прим.: Формула допускает один коэффициент ψ для всех подтипов.
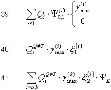
Прим.: Формула допускает один коэффициент ψK для всех подтипов.
Прим.: Формула допускает один коэффициент ψ K для всех подтипов.
Прим.: Формула допускает один коэффициент ψK для всех подтипов.