Проверка условия скольжения может потребоваться в случае, когда горизонтальные силы, действующие на фундамент, преобладают по сравнению с вертикальными. При такой ситуации возникает опасность повреждения грунта в результате скольжения подошвы фундамента по грунту или сдвига между слоями неоднородного грунта, если ниже расположенные слои слабее слоя, находящегося в непосредственном контакте с подошвой основания.
Для избежания потери устойчивости при сдвиге рекомендуются следующие меры:
При проведении расчета на сдвиг необходимо иметь в виду, что сцепление грунта, непосредственно примыкающего к фундаменту, может измениться как в процессе подготовки работ, так и в результате изменения положения уровня грунтовых вод. В этих случаях величина сцепления грунта должна быть изменена.
Для всех кодов (за исключением ACI, CSA, DTU 13.12 и Fascicule № 62 - Titre V) можно выбрать опцию Скольжение с учитываемым давнением грунта. После ее выбора дополнительно будут рассчитаны давление грунта Pa и пассивное давление Pp.

Программа будет учитывать высоту модели давления, равную:
Как показано на рисунке выше, пассивное давление будет рассчитываться по следующей формуле:
Для второго слоя она выглядит так:
.
Полное пассивное давление грунта имеет следующий вид:
Если обратная засыпка нагружена, то при расчете необходимо учитывать следующее:
Нагрузка q должна быть постоянной, она умножается на коэффициент увеличения. алгоритм расчета Pа идентичен как для P p .
Пользователь может определить нагрузку, действующую на указанную четверть отдельного фундамента. Затем пропорционально длине выбранной четверти определяется давление грунта, действующее с заданной стороны.

Скольжение с учетом давления грунта можно рассчитать для обоих направлений одновременно или для каждого отдельно (это выбирается из выпадающего списка подбора: для направлений X и Y, для направления X, для направления Y).
Расчет по разным нормам
В данных нормах расчет на скольжение не предусмотрен. Если такой расчет необходим, то необходимо сделать проверку на скольжение вручную.
Условие устойчивости при скольжении записывается в виде:
H ≤ HТРЕНИЕ
где
Hтрения = V * tg(j) + c * Ac ;
V – вертикальная сила;
j - угол внутреннего трения для грунта;
c – сцепление;
Ac - площадь контакта грунта и фундамента.
Проектирование в этом состоянии предела результатов на запас прочности конструкции: H ТРЕНИЕ / H. Значение, которое больше или равно 1,0.
Опции диалогового окна Геотехнические опции могут включить расчет данного предельного состояния и определение предельного значения коэффициента запаса.
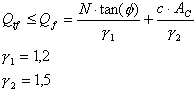
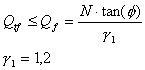
Условие устойчивости при скольжении записывается в виде:
Qtf ≤ Qf = N * tg(ϕ) + c*Ac
где
Qtf - горизонтальная сила
N – вертикальная сила;
ϕ - угол внутреннего трения грунта, учитывающий, что принятая величина tg(ϕ) не больше 0,5;
c – сцепление грунта (не выше, чем 75 кПа);
AC - зоны контакта фундамента и грунта.
В случае сейсмического воздействия, следуя литературе, сцепление грунта не учитывается, что приводит к упрощению формулы скольжения, формула принимает вид:
При расчете скольжения между фундаментом и тощим бетоном (не связанным с фундаментом армирующими штырями), бетон: коэффициент трения тощего бетона является введенным, равным 0,75.
Если имеются штыри, обеспечивающие постоянную связь между фундаментом и тощим бетоном, то это условие не проверяется.
Проектирование для этого состояния предела результатов при получении запаса прочности конструкции: Qtf / Qf. Это значение которого больше или равно 1,0.
Включение расчета данного предельного состояния, а также определение предельного значения коэффициента запаса можно осуществить с помощью диалогового окна Геотехнические опции.
Расчет на скольжение производится в соответствии с пунктом 6.5.3.
Поскольку нормы EC7 допускают учет сцепления грунта в расчете на скольжение 6.5.3 (8), имеется возможность учесть сцепление грунта частично или полностью, расширив формулу путем введения дополнительных членов, учитывающих сокращенное сцепление грунта:
где
коэффициент (находится в интервале <0.0, 1.0> и может быть определен в диалоговом окне Геотехнические опции;
A' – рабочая площадь фундамента (площадь контакта фундамента и грунта);
c' – проектное значение эффективного сцепления грунта.
Если ввести для коэффициента значение 0.0, то эта формула принимает форму, приведенную в нормах (6.3).
Sd = A' * cu.
Более того, если рабочая площадь не равна площади фундамента (возникает отрыв), проверяется следующее условие (6.5):
Sd < 0.4 Vd.
Расчет на скольжение производится в соответствии с пунктом 6.5.3.
Общие условия описаны формулой (6.2):
Hd ≤ Rd + Rp;d
Rd = V'd * tgδ d
на основе точки A.2 (2), которая относится к коэффициенту γ φ было предположено, что расчетные значения коэффициента трения равняются:
Параметр tan d, который является характерным коэффициентом трения грунта - фундамента, является свойством грунта, сохраненный в базе грунтов и называющийся Коэффициент трения.
Параметр tan d используется для фундамента, непосредственно прямо на грунте, в соответствии базой данных грунтов, в которой это было бы определено в соответствии с кодом базы углов треня в критических условиях н должен быть определен в соответствии с кодом на основании угол трения при критическом условии tan δ = tan φ cv 6.5.3 (10) i A.2(2). После того как Гладкие готовые фундамент 6.5.3 (10) активируется параметр "в диалоговом окне" Настройка "в соответствии с Geotechnical 6.5.3 (10) и A.2 (2), значение коэффициента вычисляется следующим образом:
EC7 код не рекомендует учитывать сцепление грунта в расчете скольжения 6.5.3 (10), но все же программа имеет такую возможность. частично или полностью использовать сцепление можно путем ввода дополнительных элементов в формулу (6.3a):
Rd = V'd * tgδ d + ξ * A c * c u
где
коэффициент находится в интервале <0.0, 1.0> , может быть определен в диалоговом окне Геотехнические опции;
A' – рабочая площадь фундамента (площадь контакта фундамента и грунта);
c' – проектное значение эффективного сцепления грунта.
Значение по умолчанию коэффициента уменьшения ξ = 0.0.
Rd = A c * c u;d
Более того, если рабочая площадь не равна площади фундамента (возникает отрыв), проверяется следующее условие (6.5):
Rd < 0.4 Vd.
Условие устойчивости при скольжении записывается в виде:

где
Qtf - Горизонтальная сила.
N – вертикальная сила;
φ - угол внутреннего трения для грунта;
c – сцепление грунта (не выше, чем 75 кПа);
Ac - Площадь контакта фундамента с грунтом.
В случае сейсмического воздействия, следуя литературе, сцепление грунта не учитывается, что приводит к упрощению формулы проскальзывания, формула принимает вид:
При расчете скольжения между фундаментом и тощим бетоном (не связанным с фундаментом армирующими штырями), бетон: коэффициент трения тощего бетона является введенным, равным 0,75.
Если имеются штыри, обеспечивающие постоянную связь между фундаментом и тощим бетоном, то это условие не проверяется.
Проектирование для этого состояния предела результатов при получении запаса прочности конструкции: Qtf / Qf. Это значение которого больше или равно 1,0.
Включение расчета данного предельного состояния, а также определение предельного значения коэффициента запаса можно осуществить с помощью диалогового окна Геотехнические опции.
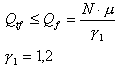
Условие устойчивости при проскальзывании в нормах PN-81/B-03020 [A3] непосредственно не предусмотрено. Описание внизу следует нормам PN-83/B-03010 [A4]. Условие устойчивости при проскальзывании в соответствии с этими нормами и соответствующей литературой представляется в следующем виде:
для слоя, расположенного ниже уровня контакта:
где
F R - Проектное значение замещающей силы.
N – проектное значение вертикальной силы на условном горизонте;
A' c — приведенная площадь основания фундамента.
ϕ - проектное значение внутреннего угла трения грунта;
A c - Зоны контакта фундамента с грунтом (уменьшенная площадь основания фундамента).
μ - Коэффициента трения фундамент - грунт.
C t - уменьшенное значение сцепления = (0,2 do 0,5) * cu.
c u - Проектное значение сцепления грунта.
m – Коэффициент коррекции.
Результатом расчета данного предельного состояния является получение коэффициента запаса конструкции
Включение расчета данного предельного состояния, а также определение предельного значения коэффициента запаса можно осуществить с помощью диалогового окна Геотехнические опции.
Условие устойчивости при скольжении записывается в виде:
где
H – горизонтальная сила;
γ с - коэффициент окружающей среды;
yn – коэффициент надежности, учитывающий использование, для которого предназначена конструкция.
V - вертикальная сила;
φ - угол внутреннего трения для грунта;
c - сцепление грунта;
Ac - зоны контакта фундамента с грунтом.
As результат проектирования этого граничного состояния, получен следующий запас прочности конструкции:
Включение расчета данного предельного состояния, а также определение предельного значения коэффициента запаса можно осуществить с помощью диалогового окна Геотехнические опции.