Нагрузки в подавляющем большинстве являются результатом действия сил тяжести (масс). При проведении динамических расчетов необходимо учитывать эти массы. Чтобы предоставить пользователю простое преобразование статических нагрузок (нагрузок силы тяжести) в фиктивные массы, в текстовом файле - анализаторе создана специальная команда "Активные массы" (MASses ACTive).
Указанное преобразование позволяет пользователю определять статические нагрузки только один раз - в процессе статического расчета - и затем использовать их в виде фиктивных масс вычислительной модели конструкции для выполнения любых типов динамического анализа.
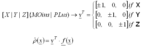
Для успешного преобразования нужны два элемента. Первый – это набор направлений, в которых массы активны. Обычно используются все глобальные направления (X, Y, Z), так как только в специфических случаях силы инерции действует не по всем этим направлениям. Второй – это количество сил инерции. Оно определяется числом статических нагрузок и направлением нагрузок, которые учитываются во время преобразования. Дополнительно необходим специальный коэффициент, на который будет умножаться значение нагрузки.
Характер нагрузки автоматически преобразуются в фиктивные массы: сосредоточенные силы преобразуются в сосредоточенные массы, моменты – в моменты инерции масс, распределенные силы - в распределенные массы.
ANA [ DYN | MOD | TRAN | HAR | SEIsmic | SPEctral ], (все типы динамического расчета)
CASe (#<number> <name>)
MASess ACTive [X/Y/Z]
[X|Y|Z ] (MINus|PLus) <case_list> COEfficient=<c>
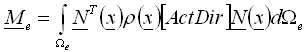
Пусть r = r(x) - функция распределения плотности масс внутри данного элемента, а N(x) - матрица узловой интерполирующей функции (матрица функции формы). Матрица масс элемента создается в соответствии со следующей основной формулой (1) :
, (1)
где

Флаги активности общего направления устанавливаются командой MASess ACTive [X/Y/Z], т. е. любое направление активно. Эта команда - основа техники обработки масс в Robot в случае, когда некоторые компоненты сил инерции могут быть проигнорированы в процессе расчета.
Матрица масс будет создана из всех нагрузок, относящихся ко всем вариантам нагружения, заданным в списке вариантов <case_list>, и действующих на каждый элемент/узел согласно следующим правилам:
, (2)
, (3)
Рассмотрим балку, нагруженную в центре нагрузкой в виде силы тяжести Fy= - 120 кН. Пусть статическая нагрузка, показанная ниже, имеет номер 3. Чтобы рассчитать формы свободных колебаний конструкции в варианте номер 10, учитывая массу (Fx=Fy= 12 232 кг), можно использовать следующую команду:
ANA MOD=3 MAS=CON
CAS #10 modal
MASses ACTive X Y
Y MINus 3

[Px= < px.>/Py=<py>/Pz=<pz>] (LOCal/GLObal) (PROjected) ([R=<r>])([R=<r>])
Вектор плотности нагрузки преобразуется в основные направления, как задано формулой:
(LOCal/GLObal) (PROjected) ([R=<r>]), учитывая флаг (PROjected) как для нагрузок, затем равные распределения масс устанавливается в соответствии с (2) (3)
Нагрузка собственного веса преобразуется в массу аналогично распределенной нагрузке элементов.
(X=<x1>)[ P=<p1>] ((JUSque)(X =<x2>)[P=<p2>] ) (R=<r>) (LOCal/GLObal) (RELative) (PROjected)
Нагрузка преобразуется в соответствии с формулой:
(LOCal/GLObal) (PROjected) ([R=
затем устанавливается согласно (2)(3) распределенние масс.
Рис.1
[X=<x>] [F=<f>](R=<r>) (Local)(RELative)
Общая масса m , сосредоточенная в точке x 0 , вычисляется, исходя из общего представления вектора силы f , по формуле:
, (4)
Затем вычисляется согласованная матрица масс так, как если бы распределение масс было представлено дельта- функцией Дирака, сводящейся к:
, (5)
[X=<x>] [F=<fc>] (R=<r>) (LOCal)(RELative)
Так как спецификация направления сил инерции не касается направлений вращательных сил инерции, то должно быть установлено отдельное правило выполнения преобразований между сосредоточенным моментом элемента и вращательной силой инерции определенного тела, присоединенного к элементу.
Для того, чтобы получить вектор, относящийся к системе локальных координат элемента, преобразование вектора <fc> выполняется согласно настройкам (R=<r>) (LOCal). Чтобы избежать необходимости преобразования несовместимого типа вектора, нагрузка должна быть определена как LOCal и не R=<r>, иначе будет выдано предупреждение.
Предполагается, что глобальные координаты совпадают с главными осями инерции тела, таким образом, компоненты вектора
представляют собой основные моменты инерции в глобальной системе координат. Из этого следует следующее ограничение моделирования:
|
Рис. 2 |
Корректная ситуация.
Некорректная ситуация, моделирование невозможно. |
[M=<m>] (LOCal)
В этой формуле <m> - вектор, который после преобразования векторного типа к системе локальных координат элемента представляет погонную плотность вращательной инерции, отнесенную к локальной оси элемента.
Действуют все принципы, как для сосредоточенных моментов (см. Рис. 2).
[Px= < px.>/Py=<py>/Pz=<pz>]
Рассчитывается вектор плотности нагрузки, который затем преобразуется в плотность масс в соответствии с (2)(3)
Нагрузка собственного веса преобразуется в эквивалентную унифицированную нагрузку и дальнейшие действия выполняются, как в предыдущем случае.
[P=<p1>] AU <n1>( [P=<p2>AU<n2> ([P=<p3> AU<n3>))
В каждой точке интегрирования рассчитывается плотность нагрузки, которая затем преобразуется в плотность масс согласно (2)(3), см. Рис. (1). Усиленные правила интегрирования используются для
NGAUS = 3x3 для Q8,
= 7 для T6,
= 2x2 для Q4
= 3 для T3
[P=<p1>] AU <n1>( [P=<p2>AU<n2> ([P=<p3> AU<n3>)) PROjected DIRection <v> _CONtour <l_node>
В каждой точке интегрирования рассчитывается плотность нагрузки, которая затем преобразуется в плотность масс согласно (2)(3), см. Рис. (1). В случае, если не вся площадь элемента относится к контуру, то для достижения требуемой точности интегрирования. Внутри элемента выполняется полное автоматическое интегрирование с использованием до 100x100 точек сетки. Таким образом, применение этой опции может замедлять процесс расчета матрицы масс.
LIN
<n1>[P=<p1>] Jusque <n2> (P=<p2>) ( [LOCal (GAMma=<gamma>)] )
Только поступательная сила может быть преобразована в массу , распределенную вдоль линии.
В каждом сегменте линии, пересекающей элемент, используется 3-х точечная формула интегрирования Гаусса. Вектор плотности нагрузки преобразуется к системе глобальных координат, затем в соответствии с (2)(3) строится распределение масс вдоль линии.
NODe (auxiliary)
F=<f> ( [R=<r>] )
Только поступательная сила может быть преобразована в массу элемента (для момента элемента балки - инерция вращательного преобразования позволена, а здесь запрещена). Вектор силы <f> преобразуется, если необходимо, к глобальной системе координат, затем согласно (2),(3) рассчитывается значение массы, приложенной в точке внутри элемента, далее в соответствии с (5) строится матрица масс. Элемент, к которому относится масса, находится автоматически. Элемент, к которому относится масса, находится автоматически.
NODe
F=<f> ( [R=<r>] )
Чтобы получить значение узловой массы, вектор силы <f> преобразуется согласно (2),(3).
NODe
F=<c> ( [R=<r>] )
При определении направления сил инерции не рассматриваются направления вращательной инерции, так что для выполнения преобразования сосредоточенного узлового момента к моменту инерции определенного тела, прикрепленного к узлу, должно быть установлено отдельное правило.
Преобразование типа вектора <fc> выполняется согласно (R=<r>) правилу получения вектора
, относящегося к глобальной системе координат. Чтобы не получить недопустимый тип преобразования вектора, не должно быть ни LOCal, ни R=<r>, иначе будет выдано сообщение об ошибке.
Предполагается, что глобальные координаты совпадают с главными осями инерции тела, таким образом, компоненты вектора
представляют собой основные моменты инерции в глобальной системе координат.