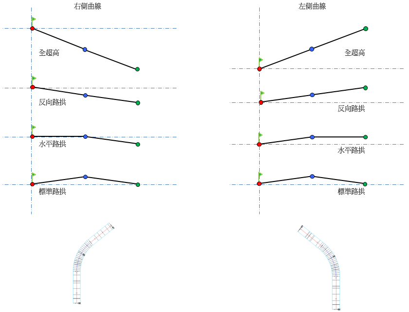
位於左側的樞軸 (未分割的拱形道路上的超高)

下圖描述未分割的拱形道路的「左側」旋轉方式。

若要取得超高圖的說明,請參閱〈關於超高旋轉軸旋轉方式〉