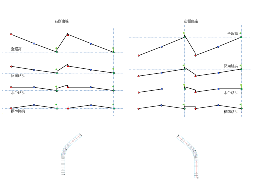
下圖描述分割的拱形道路的「右側」旋轉方式。
「扭曲中央」表示當套用超高時,中央寬度仍保持相同,但兩側的其中一側升高或降低以容納超高。此選項會扭曲中央造型,並且 樞軸點會維持其原始位置。
若要取得超高圖的說明,請參閱〈關於超高旋轉軸旋轉方式〉。