斜齒輪的基本幾何計算

輸入參數

齒輪類型 - 依據根部和錐頭的位置

齒輪比和齒數

壓力角 (工具輪廓的角度) α t

螺旋角 β m

軸角度 Σ

外側圓錐上的切向模組 Met (用於公制計算)

外側圓錐上的切向徑節 Pet (用於英制單位)

註: 模組和徑節是交互值。

單位齒冠高度 ha *

單位間隙 c *

單位齒根圓角 r f *

面寬 b 1 、b 2

單位修正 x = x 1 = - x 2

齒厚度單位變更 x t = x t1 = - x t2

輔助幾何計算

單齒輪的單位修正分配

根據強度計算設計

面寬設計

最大齒根圓角的計算

已計算的參數

 

中間平面中的正垂壓力角

 

tg α nm = tg α t cos β m

節面角

 

外側節圓直徑

 

d e1,2 = m et z 1,2

節圓錐上表面線的外側長度

 

平均圓錐上表面線的長度

 

R m = R e - 0.5 b

相對面寬

 

平均圓錐上的切向模數

 

平均圓錐上的正垂模數

 

m mn = m mt cos β m

平均節圓直徑

 

d m1,2 = m mt z 1,2

對等齒數

 

對等節圓直徑

 

對等基準直徑

 

d vb1,2 = d v1,2 cos α t

對等外徑

 

d va1,2 = d v1,2 + 2 h ae1,2 m mt / m et

對等中心距離

 

a v = 0.5 (d v1 + d v2 )

虛擬齒輪比

 

虛擬齒數

 

虛擬節圓直徑

 

虛擬基準直徑

 

d bn1,2 = d n1,2 cos α t

虛擬外徑

 

d an1,2 = d n1,2 + 2 h ae1,2 m mt / m et

基圓柱上的虛擬螺旋角

 

sin β b = sin β m cos α nm

虛擬中心距離

 

a n = 0.5 (d n1 + d n2 )

齒根縮短

 

k 1,2 = 0.02 (17 - z n1,2 )

k > 0 時,進行齒根縮減

齒冠

 

h ae1,2 = m et (h a * + x 1,2 - k 1,2 )

齒根

 

hf e1,2 = m et (h a * + c * - x 1,2 )

外徑

 

d ae1,2 = d e1,2 + 2ha e1,2 cos δ 1,2

齒根直徑

 

d fe1,2 = d e1,2 - 2 hfe1,2 cos δ 1,2 )

較小端處的外徑

 

d ai1,2 = d ae1,2 (1 - φ R )

頂點距離

 

A 1,2 = R e cos δ 1,2 - h ae1,2 sin δ 1,2

外部斜角

 

切割角度

 

齒厚度 (通常依據節圓直徑測量得出)

 

弦的面寬 (正垂)

 

s ke1,2 = s e1,2 cos 2 α t

弦上方的齒冠高度

 

單位齒冠寬度 (通常測量得出)

 

 

其中:

 
   

齒輪的作用寬度

 

b w = b

嚙合耐久係數

 

ε = ε + ε

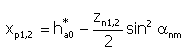
無推拔的最小修正

 

 

其中:

   

h a0 * = h a * + c * - r f * (1 - sin α t )

無讓切的最小修正

 

無讓切的最小修正

 

端處的螺旋角

 

sinβ e = sinβ m R m /R e

端處的正垂壓力角

 

tanα ne = tanα t cosβe