Parabolic Model (According to EC)

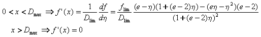
The following parameters of the parabolic model (according to EC) are defined for positive arguments x>0. The value of the derivative needed to define the stiffness is also specified.

Auxiliary quantities:

Function:

Derivative (stiffness):

Limitations: