Un problema de valores propios generalizado se define de la siguiente manera:
K φ - λM φ = 0,
donde K, M indican matrices de rigidez y masa respectivamente y {φ, λ} son pares propios (modo de vibración natural y valor propio).
Se definen dos tipos de vectores residuales:

donde {φ, λ} designan pares propios calculados que incluyen determinados errores de cálculo. La primera expresión define un vector residual en términos de fuerzas, mientras que la segunda lo define en términos de desplazamientos.
Se aplican tres criterios diferentes para realizar una estimación de los errores de cálculo en los vectores propios:


en cada uno de los 20 pasos de Lanczos para el modo sísmico. El parámetro tol del cuadro de diálogo Parámetros del análisis modal se ignora.
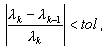
durante el cálculo. El parámetro tol del cuadro de diálogo Parámetros del análisis modal - Solvente iterativo define el límite superior de ε, por lo que ε ≤ tol e una condición para detener iteraciones. La precisión no debe confundirse con la tolerancia determinada en el cuadro de diálogo Parámetros del análisis modal mientras se utilizan los solventes Skyline o Sparse Direct si se ha seleccionado el modo modal. La tolerancia durante los cálculos se define según la siguiente fórmula:

donde λk, λk-1 son dos valores propios sucesivos en los pasos de iteración k, k-1 y tol indica la tolerancia adoptada en el cuadro de diálogo Parámetros del análisis modal. Determinar la precisión final de los cálculos (1-3) es un proceso largo que se realiza en la última fase del análisis modal para verificar la precisión obtenida. Reduzca la tolerancia tol para aumentar la precisión del cálculo, lo que incrementa el número de iteraciones.
Si la precisión de algunos modos después de los cálculos es insuficiente, es necesario realizar la siguiente acción:
|
SOLVENTES DIRECTOS |
SOLVENTES ITERATIVOS |
|||
|---|---|---|---|---|
|
Iteraciones en el subespacio, iteraciones en el subespacio por bloques, método Lanczos |
Método de la reducción de la base |
Lanczos modificado |
PCG_Ritz |
PCG |
|
Reducir el valor de tol en el cuadro de diálogo Parámetros del análisis modal. |
Aumentar el número de nudos base y direcciones base. |
Reducir el valor de tol en el cuadro de diálogo Parámetros del solvente iterativo y aumentar el número de modos. |
Aumentar el número de modos. |
Reducir el valor de tol en el cuadro de diálogo Parámetros del análisis modal. |
Consulte también: