Distribución de fuerzas en soldaduras debido a una carga paralela al cordón

Distribución de fuerzas en soldaduras debido a una carga perpendicular al cordón

Distribución de tensiones en soldaduras longitudinales

Distribución de tensiones en soldaduras transversales



Fórmulas para las tensiones resultantes en soldaduras (longitudinal 1, longitudinal 2, interna transversal 3, externa transversal 4)

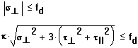
Condición de resistencia:
Eurocódigo:

PN:
