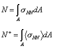
Esfuerzos internos en la tabla

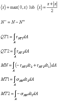
Las fuerzas resultantes equivalentes disponibles en la tabla de resultados se calculan en función de las siguientes fórmulas:

<...> - (corchetes de Macauley) o el operador de pieza positivo expresado como: