Fórmulas que determinan los valores principales y complejos.

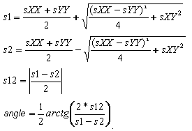
Los valores de tensión s principales se definen de acuerdo con las siguientes fórmulas:

Nota: Los valores principales de los esfuerzos de membrana N y los momentos M se definen de acuerdo con las mismas fórmulas. Las S, que indica tensiones, se sustituyen por las letras N y M.

Se define un valor complejo de tensión S (reducida) (Von Mises) según la siguiente fórmula:

Nota: Los valores de los esfuerzos de membrana reducidos N y el momento M se definen según la misma fórmula. Las S, que indica tensiones, se sustituyen por las letras N y M.