|
|
Pour chaque poulie |
|
F 2 - F 1 + F p = 0 |
|
|
|
|
|
|
|
|
|
Pour la poulie d'entraînement
|
|
v ≤ v max |
|
|
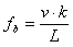
f b ≤ f max |
F c = mv 2
F Tmax = k 1 F p + F c
F 1 = F tmax
F 2 = F 1 - F p
Pour chaque poulie entraînée et tendeur
index i de la poulie
F Pi = P xi F p
F 1i = F 2i-1
F 2i = F 1i + F p i
où :
pour poulie synchrone
pour poulie plate
Pour la transmission par courroie entière
La tension d'installation de courroie requise est établie à partir des forces au niveau de la poulie d'entraînement, de la manière suivante :
Exemple de transmission de puissance avec tendeur
|
Poulie d'entraînement |
Tendeur plat |
Poulie entraînée |
|
P x1 = 1 |
P x2 = 0 |
P x3 = 1 |
|
|
|
F P3 = P x3 F p |
|
|
|
|
|
|
|
|
|
|
F 12 = F 21 |
|
|
|
F 22 = F 12 + F p2 = F 12 |
|
|
F c = m v 2 |
|
|
|
F Tmax = k 1 F p + F C |
- |
F 13 = F 22 |
|
F 11 = F Tmax |
- |
F 23 = F 13 + F p3 = F 11 |
|
F 21 = F 11 - F p |
- |
|
|
|
- |
- |
Signification des variables utilisées :
|
F p |
Amplitude de tension [N] |
|
F 1 |
Tension de la courroie sur le côté d'entrée de la poulie considérée [N] |
|
F 2 |
Tension de la courroie sur le côté de sortie de la poulie considérée [N] |
|
z |
Nombre de dents de la poulie considérée / Nombre de dents de la courroie [-] |
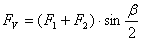
| β |
Arc de contact / angle d'inclinaison de la dent [degré] |
|
P |
puissance de transmission [W] |
|
P R |
Puissance nominale de la courroie pour la disposition de transmission considérée [W] |
|
c L |
Facteur de service [-] |
| β |
Arc de contact [deg] |
|
T |
Couple agissant sur la poulie considérée [Nm] |
|
n |
Vitesse de la poulie considérée [tr/min] |
|
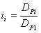
D p |
Diamètre primitif de la poulie [m] |
|
v |
Vitesse de la courroie [m/s] |
|
k |
Nombre de poulies au sein de la transmission par courroie [-] |
|
L |
Longueur de pas de la courroie [m] |
|
P |
puissance de transmission [W] |
|
m |
Poids spécifique de la courroie pour la largeur considérée [kg/m] |
|
k 1 |
Facteur de tension de la courroie [-] |
|
F p |
Amplitude de tension [N] |
|
F c |
Force centrifuge [N] |
|
F t |
Tension d'installation minimale de la courroie [N] |
|
P xi |
Rapport de puissance de la poulie considérée [-] |
|
D pi |
Diamètre primitif de la poulie [m] |
|
i |
Rapport de transmission (rapport de vitesse) de la poulie considérée [-] |
|
T i |
Couple agissant sur la poulie considérée [Nm] |
| η |
Rendement [-] |
|
p b |
Pas circulaire [m] |
|
D |
Diamètre nominal de la poulie plate [m] |
|
H |
Hauteur de la courroie [m] |
|
h T |
Hauteur de dent de la courroie [m] |
|
a |
Décalage de ligne de pas [m] |