Les paramètres de l’analyse sismique des structures dépendent de la norme parasismique sélectionnée pour le calcul des structures sollicitées par des charges sismiques.
Sélectionnez la norme sismique américaine IBC 2009 (International Building Code 2009), IBC 2012 (International Building Code 2012) ou ASCE 7 (Minimum Design Loads and Associated Criteria for Buildings and Other Structures) dans la boîte de dialogue Définition d'un nouveau cas ou cliquez sur Paramètres dans la boîte de dialogue Types d'analyse.

Afin d’effectuer l’analyse sismique suivant les prescriptions de cette norme, vous devez définir les paramètres suivants :
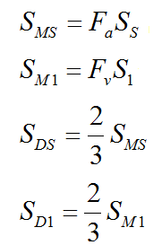
Les coefficients du site Fa et Fv sont interpolés selon les paramètres S1 et SS.
Les paramètres d’accélération spectrale de dimensionnement sont calculés à partir des équations ci-après :

Cliquez sur Définir l’excentrement pour ouvrir la boîte de dialogue Définition des excentrements de masse, dans laquelle vous pouvez déterminer le mode de prise en compte du déplacement de la masse d’un excentrement dans l’analyse sismique.
Cliquez sur Cisaillement de base pour ouvrir la boîte de dialogue Cisaillement de base. Dans cette boîte de dialogue, vous pouvez sélectionner le mode de prise en compte de l'effort tranchant de base : il peut être calculé à partir des règles de la norme sismique ASCE 7-05, point 12.8 ou défini manuellement par l’utilisateur.
La partie inférieure de la boîte de dialogue contient les boutons Définition de la direction et Filtres.
Pour obtenir des informations détaillées sur cette méthode d'analyse de la structure, veuillez consulter la norme en question.