Modèle parabolique (suivant EC)

Les paramètres ci-dessous du modèle parabolique (suivant EC) sont définis pour les arguments positifs x>0. La valeur de la dérivée nécessaire pour définir la rigidité est également indiquée.

grandeurs auxiliaires :

Fonction :

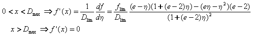
Dérivée (rigidité) :

Limitations :