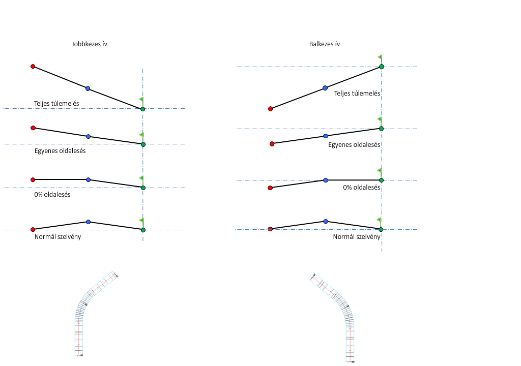
Elforgatás jobb oldalon (Osztatlan tetőszelvényes útpályák túlemelése)

A következő illusztráció a Jobb oldali elforgatás módszerét írja le egy osztatlan tetőszelvényes útra.

A túlemelési diagramok magyarázatáért lásd: Információk a túlemelések forgástengelyének elforgatási módszereiről.