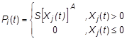
Description: Defines nonlinear transient forcing functions of the form
where
may be the displacement or a velocity at point GJ in the direction of CJ.
Format:
Example:
| Field | Definition | Type | Default |
|---|---|---|---|
| SID | Nonlinear load set identification number. | Integer > 0 | Required |
| GI | Grid, scalar, or extra point identification number at which nonlinear load is to be applied. | Integer > 0 | Required |
| CI | Component number for GI. | 0 ≤ Integer ≤ 6 | Required |
| S | Scale factor. | Real | Required |
| GJ | Grid, scalar, or extra point identification number. | Integer > 0 | Required |
| CJ | Component number for GJ. | 0 ≤ Integer ≤ 6 | Required |
| A | Exponent of the forcing function. | Real | Required |
Remarks:
) or velocity (
). Nonlinear loads as a function of velocity (equation 2 above) are denoted by component numbers ten times greater than the actual component number. For example, a component number of 11 is component 1 for velocity.
.