Horizontal reinforcement

This reinforcement system is divided into two zones.

Lower zone

The reinforcement belonging to this group is distributed directly over the main reinforcement in the following area.

0.4h if h ≤ l

0.4*l if h > l

If the lower main reinforcement is distributed in the zone at the height = 0.15*h or 0.15*l, then, the reach of the horizontal reinforcement is limited from above and equals 0.55*h or 0.55*l.

Symbols:

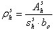
Ahi - Cross-section of horizontal reinforcement within the layer.

shi - Reinforcement spacing.

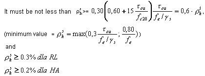
Percent of horizontal reinforcement equals

.

Additionally, the following condition should be verified.

Upper zone

This reinforcement is distributed along the entire span length according to the following.

Symbols:

Ahs - Cross-section of the horizontal reinforcement within the layers.

shs - Reinforcement span.

The percent of horizontal reinforcement equals

In the case when h > l, apply the reinforcement evenly distributed in the zone between l and 1.5*l. The percent of this reinforcement should be smaller than max(0.5*rhs; rhs(min)).