체인 구성
롤러 체인 생성기는 롤러 및 부시 체인을 사용하여 체인 연동을 설계하기 위한 도구입니다. 체인에는 단일 스트랜드나 다중 스트랜드가 있을 수 있습니다. 이중 피치 체인도 지원됩니다. 일반적인 롤러 및 부시 체인 구성은 다음 그림과 같습니다. 주된 차이점은 부시 체인에는 롤러가 없다는 점입니다.
| 
 
 부시 체인 구성요소  | 
 
 롤러 체인 구성요소  | 
  | 
|
체인 길이가 피치의 짝수인 경우 연결 링크를 사용하여 체인의 양쪽 끝을 연결할 수 있습니다. 일반적으로 체인 동력 용량은 감소되지 않습니다.
체인 길이가 피치의 홀수인 경우 체인의 한쪽 끝에 간격띄우기 링크를 사용할 수 있습니다. 그런 다음 연결 링크를 사용하여 체인의 양쪽 끝을 연결할 수 있습니다. 일반적으로 간격띄우기 링크는 체인 동력 용량을 감소시킵니다. 동력 감소량은 간격띄우기 링크의 유형과 구성에 의해 결정됩니다. 체인 구성 계수를 줄이는 데 필요한 체인 동력 용량을 줄이는 것이 좋습니다.
반복 하중 인장
체인 연동의 체인은 순환 인장에 의해 하중을 받게 되므로 체인이 피로의 원인입니다. 다음 그림은 일반적인 하중 다이어그램입니다. 하중 다이어그램은 연동 배치에 따라 다를 수 있습니다.
| 
 
  | 
마모
마모는 롤러 체인 연동 설계에 있어 중요한 부분입니다. 일반적으로 체인 접합 마모 및 스프로킷 마모에 의해 롤러 체인이 가장 많은 영향을 받습니다.
체인 접합 마모로 인해 롤러 체인이 더 길어집니다. 롤러 체인의 스프로킷은 마모로 인해 체인이 3%(이중 피치 체인의 경우 1.5%)까지 연장되는 것을 허용하도록 설계됩니다. 체인이 3%를 초과하여 연장되면 스프로킷에 더 이상 맞지 않게 되므로 시스템이 올바로 작동하지 않습니다. 대형 스프로킷이나 중심 거리가 고정된 연동의 경우 체인 접합 마모의 기준이 다를 수 있습니다. 마모된 체인을 교체해야 할 경우 스프로킷도 함께 교체하는 것이 좋습니다.
| 
 
 체인 접합 마모  | 
스프로킷이 마모되면 톱니 모양도 바뀝니다. 톱니는 점점 갈고리 모양이 됩니다. 아이들러의 경우 스프로킷은 일반적으로 톱니 공간의 아래쪽에서 마모됩니다. 톱니 공간이 깊게 마모되면 체인 롤러가 아이들러 스프로킷에 들어가고 나갈 때 톱니 위쪽에 얽힐 수 있습니다. 스프로킷 마모는 체인에서 충격 하중의 근원이 될 수 있습니다. 샤프트에서 스프로킷을 뒤집으면 때때로 마모된 스프로킷의 수명이 연장될 수 있습니다.
| 
 
 마모된 롤러 체인 연동 스프로킷  | 
 
 마모된 롤러 체인 아이들러 스프로킷  | 
윤활
체인의 수명을 최대한으로 늘리려면 체인 연동에 적합한 윤활을 제공해야 합니다. 윤활이 필요한 곳에 올바른 윤활제를 칠하는 것이 효과적인 윤활입니다. 주요 과제는 핀, 부시 및 롤러의 베어링 표면에 깨끗한 윤활제를 충분히 칠하는 것입니다.
| 
 
  | 
 수동 윤활: 8시간의 작동 시간마다 한 번씩 붓이나 관을 사용해 충분한 오일을 공급합니다. 연동을 중지하고 연동 전원을 차단합니다. 체인이 과열되거나 체인 접합이 녹슬어 적갈색으로 변색되는 것을 방지하려면 충분한 양을 자주 발라야 합니다.  | 
| 
 
  | 
 점적 윤활: 점적 윤활기로부터 링크 플레이트나 보조대의 상단 모서리로 오일이 계속해서 떨어집니다. 체인 접합에서 윤활제가 녹슬어 적갈색으로 변색되는 것을 방지하려면 충분한 양을 자주 떨어뜨려야 합니다. 일반적인 점적 속도는 분당 4~20회입니다. 공기 마찰로 인해 잘못된 방향으로 떨어지는 일이 없도록 주의해야 합니다.  | 
| 
 
  | 
 유욕식 윤활: 체인의 하단 스트랜드가 연동 하우징에서 오일 통을 지납니다. 작동하는 동안 오일 레벨이 체인의 피치 선 최하 지점에 닿아야 합니다.  | 
| 
 
  | 
 디스크 윤활: 체인이 오일 높이 위에서 작동합니다. 디스크가 통에서 오일을 찍어 체인에 공급합니다. 주로 통과하는 방법이 사용됩니다. 디스크의 지름은 오일을 효율적으로 찍을 수 있는 적당한 림 속도를 낼 수 있어야 합니다. 속도가 너무 빠르면 오일에 기포가 생기고 과열될 수 있습니다.  | 
| 
 
  | 
 강제 주입 윤활: 윤활제는 체인 연동에 지속적으로 오일을 공급할 수 있는 순환 펌프를 통해 공급됩니다. 오일을 스트랜드에 겨누고 체인 루프 내부 및 체인 폭에 골고루 뿌려야, 오일이 모든 베어링 표면에 발라집니다. 필요하면 오일 냉각기 및 오일 필터를 사용할 수 있습니다.  | 
윤활 오일에는 오염 물질이 없어야 하며 특히 연마 입자가 없어야 합니다.
체인 연동 윤활 오일의 점도 클래스는 다음과 같이 앰비언트 온도를 기준으로 정의됩니다.
| 
 앰비언트 온도[°C]  | 
 -5 ≤ t ≤ +5  | 
 +5 ≤ t ≤ +25  | 
 +25 ≤ t ≤ +45  | 
 +45 ≤ t ≤ +70  | 
| 
 오일 점도 클래스  | 
 VG 68(SAE 20)  | 
 VG 100(SAE 30)  | 
 VG 150(SAE 40)  | 
 VG 220(SAE 50)  | 
적합한 권장 윤활은 다음 차트에서 볼 수 있듯이 체인 크기와 속도에 따라 결정됩니다.
| 
 
  | 
 여기에서  | 
| 
 A) 수동 윤활 범위. 최대 체인 속도: ν = 2.8 p -0.56  | 
|
| 
 B) 점적 주입 윤활 범위. 최대 체인 속도: ν = 7 p -0.56  | 
|
| 
 C) 유욕식 또는 디스크 윤활 범위. 최대 체인 속도: ν = 35 p -0.56  | 
|
| 
 D) 강제 주입 윤활 범위  | 
윤활 품질과 관련하여 체인 서비스 수명 동안 체인 접합 마모의 진행률은 다음 그림에서 보는 것과 같습니다.
여기에서
| 
 a  | 
 오염된 연마 환경에서 윤활제를 칠하지 않은 체인  | 
|
| 
 b  | 
 윤활제를 충분히 칠하지 않은 체인  | 
|
| 
 c  | 
 윤활제를 적당히 칠한 체인  | 
일반적으로 체인 서비스를 시작할 때 마모가 급속히 진행됩니다. 이 단계를 초기 마모라고 합니다. 일부 제조업체에서 수행하는 것처럼 체인에 예압 하중을 가하면 초기 마모를 최소화할 수 있습니다. 이 방법을 통해 체인 서비스 수명을 늘릴 수 있습니다.
그 다음 체인 접합 마모가 계속 느리게 진행됩니다. 이를 정상 마모라고 합니다. 체인에 윤활제를 적당히 칠하면 체인 접합 마모가 계속되어 정상 마모에 이르고 결국 체인의 유효 수명을 다하게 됩니다. 체인의 유효 수명이 끝나면 체인 조인트 마모가 다시 급속하게 진행됩니다.
체인의 극한 인장 강도 F U
체인의 극한 인장 강도는 체인이 끊기기 전까지 단일 응용프로그램에서 체인이 견딜 수 있는 최대 하중입니다. 즉, 허용되는 작동 하중이나 측정 하중이 아닙니다. 최소 인장 강도에 대한 사양의 주요 기준은 체인이 제대로 조립되었는지 확인하는 것입니다. 롤러 체인 생성기는 최소 극한 인장 강도를 사용하여 체인이 끊기지 않는 안전계수를 결정합니다. 또한 추가 계수를 사용하여 예상 체인 링크 서비스 수명 또는 링크 플레이트 피로를 계산합니다.
극한 인장 강도의 기본값은 지정된 체인 크기에 대한 표준 권장 사항을 기준으로 하지만 이 매개변수에 대해 체인 제조업체에서 제공하는 사양을 참조할 수 있습니다. 체인 크기가 같더라도 인장 강도는 체인 생산자와 재질에 따라 다를 수 있습니다.
특정 체인 질량 m
체인의 비질량은 체인 크기, 구성 및 재질에 따라 다릅니다. 기본값은 표준 권장 사항을 기반으로 하거나 체인 제조업체에서 생산한 강 체인의 가장 근접한 값입니다. 비질량은 원심력 계산과 진동 분석에 사용됩니다.
체인 구성 계수 Φ
체인 구성 계수는 체인의 실제 품질을 나타내며, 체인 동력비와 체인 허용 베어링 영역 압력에 직접적인 영향을 줍니다. 계수는 보통 1입니다. 강도가 더 높은 재질로 체인을 만들었거나 체인 품질이 국가 표준에 언급된 것보다 높을 경우 1보다 큽니다.
체인 동력비 P R
체인 동력비는 특정 작동 조건에서의 체인 용량비를 나타냅니다. 일반적으로 체인 용량은 링크 플레이트 피로, 롤러 및 부시 영향 피로 및 핀과 부시 사이의 마모에 의해 제한됩니다. 아래 그림에 있는 일반적인 동력비 차트를 참고하십시오.
여기에서
| 
 A  | 
 링크 플레이트 피로에 의해 제한되는 체인 연동 동력 용량  | 
|
| 
 B  | 
 롤러 및 부시 영향 피로에 의해 제한되는 체인 연동 동력 용량  | 
|
| 
 C  | 
 핀-부시 마모에 의해 제한되는 체인 연동 동력 용량  | 
동력 정정 계수
체인 동력비 방정식은 특정 정상 작동 조건 하에서 작동하는 체인 연동에 대해 유효한 동력 용량을 제공합니다. 체인 연동이 정상 작동 조건과 다른 작동 조건에서 작동하는 경우 아래 설명된 동력 정정 계수가 필요합니다.
정상 작동 조건
ISO 체인의 경우 120피치,
ANSI, CSN 체인의 경우 100피치
ISO, ANSI, DIN 체인의 경우 15,000시간,
CSN 체인의 경우 10,000시간
충격 계수 Y
서비스 계수는 체인 연동 작동 조건, 연동 및 연계 특징에 따른 다이나믹 과부하를 고려합니다. 충격 계수는 다이나믹 안전계수를 비롯하여 서비스 계수의 크기를 결정하는 데 사용됩니다. 예기치 않은 충격에 의해 발생한 최대 하중 및 최대 과부하는 연동 또는 연계 기계의 관성 모멘트 값이 크면 대폭 증가합니다. 기본적으로 체인 생성기는 다음 표를 사용하여 충격 계수를 결정합니다.
| 
 Y  | 
 적용  | 
| 
 1.0  | 
 부드럽게 실행  | 
| 
 1.5  | 
 부드럽게 실행(간헐적인 충격 포함)  | 
| 
 2.0  | 
 약한 충격, 보통이며 임시적인 최대 과부하  | 
| 
 3.0  | 
 보통 충격, 강하며 임시적인 최대 과부하  | 
| 
 4.0  | 
 강한 충격, 보통이며 지속적인 최대 과부하  | 
| 
 5.0  | 
 강한 충격, 강하며 지속적인 최대 과부하  | 
서비스 계수 f 1
서비스 계수는 체인 연동 작동 조건과 해당 결과, 특히 연동 및 연계 요소의 특징에 따른 다이나믹 과부하를 고려합니다. 직접 계수 값을 선택하거나 다음 표에 나온 값을 사용할 수 있습니다.
| 
 연계 기계 특징  | 
 연동 기계 특징  | 
||
| 
 부드럽게 실행  | 
 약한 충격  | 
 보통 충격  | 
|
| 
 부드럽게 실행  | 
 1.0  | 
 1.1  | 
 1.3  | 
| 
 보통 충격  | 
 1.4  | 
 1.5  | 
 1.7  | 
| 
 강한 충격  | 
 1.8  | 
 1.9  | 
 2.1  | 
연동 기계의 특징 정의
| 
 연동 기계 특징  | 
 기계 유형의 예  | 
| 
 부드럽게 실행  | 
 전동 모터, 증기 및 가스 터빈, 수력 커플링이 있는 내부 연소 엔진  | 
| 
 약한 충격  | 
 기계식 커플링과 함께 6개 이상의 실린더가 있는 내부 연소 엔진, 자주 발동되는 전동 모터(하루 3회 이상)  | 
| 
 보통 충격  | 
 기계식 커플링과 함께 6개 미만의 실린더가 있는 내부 연소 엔진  | 
연계 기계의 특징 정의
| 
 연계 기계 특징  | 
 기계 유형의 예  | 
| 
 부드럽게 실행  | 
 원심 펌프 및 압축기, 인쇄 기계, 균일한 하중의 벨트 컨베이어, 종이 달력, 에스컬레이터, 액체 교반기, 믹서, 회전식 건조기, 팬  | 
| 
 보통 충격  | 
 3개 이상의 실린더가 있는 왕복 펌프 및 압축기, 콘크리트 혼합 기계, 비균일 하중의 컨베이어, 고체 교반기 및 믹서  | 
| 
 강한 충격  | 
 굴삭기, 롤 및 볼 밀, 고무 처리 기계, 평삭기, 프레스, 전단기, 펌프, 1개나 2개의 실린더가 있는 압축기, 오일 천공기  | 
아래 차트에 나와 있는 것처럼 서비스 계수는 기본적으로 충격 계수에 따라 결정됩니다.
여기에서
| 
 Y  | 
 충격 계수[-]  | 
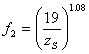
스프로킷 크기 계수 f 2
스프로킷 크기 계수는 소형 스프로킷의 톱니 수를 고려합니다. 동력비 방정식이 연동에서 최소 스프로킷의 톱니 수를 고려하는 경우 이 계수는 1입니다. 최소 스프로킷의 크기는 체인 동력비의 각 부분에 특정한 영향을 줄 수 있습니다.
체인 동력비를 사용자화하는 경우 스프로킷 크기 계수도 함께 수정해야 합니다. 최소 스프로킷의 톱니 수와 관련해 동력비 표를 참고로 동력비를 지정하는 경우 이 계수는 1이어야 합니다. 제공된 동력비가 최소 스프로킷의 톱니 수가 고려되지 않는 동력비 차트에서 가져온 것이면 계수 크기를 조정해야 할 수 있습니다. 스프로킷 크기 계수는 설계 동력에 영향을 줍니다. 기본적으로 체인 생성기는 계수 크기를 다음과 같이 결정합니다.
여기에서
| 
 z s  | 
 소형 스프로킷의 톱니 수[-]  | 
다중 스트랜드 계수 f 3
기본적으로 단일 스트랜드 체인의 동력비는 동력비 방정식을 통해 제공됩니다. 다중 스트랜드 체인의 동력비는 단일 스트랜드 비율과 다중 스트랜드 계수를 곱한 값과 같습니다. 기본적으로 프로그램에서는 다음 테이블에 나와 있는 것처럼 기본 제공 테이블을 사용합니다. 또한 다중 스트랜드 계수는 예상 서비스 수명을 분석할 때 사용됩니다.
| 
 체인 스트렌드  | 
 1  | 
 2  | 
 3  | 
 4  | 
 5  | 
 6  | 
| 
 f 3 [-]  | 
 1  | 
 1.7  | 
 2.5  | 
 3.3  | 
 3.9  | 
 4.6  | 
윤활 계수 f 4
윤활 계수는 불충분한 윤활이 체인 동력 용량과 서비스 수명에 미치는 영향이 얼마나 큰지 프로그램에 알립니다. 적당한 윤활을 선택한 경우 계수 크기는 분석에 영향을 주지 않는 1입니다. 불충분한 윤활을 사용해야 할 경우 이 계수는 핀-부시 마모에 의해 제한되는 체인 동력비를 줄이거나 전체 설계 동력을 늘립니다. 기본적으로 선택한 윤활의 영향을 나타내기 위해 다음 구축 표가 프로그램에 사용됩니다.
| 
 체인 속도 [m/s]  | 
 윤활 계수 [-]  | 
|||
| 
 윤활  | 
 윤활 없음  | 
|||
| 
 권장  | 
 불충분  | 
|||
| 
 깨끗한 환경  | 
 오염된 환경  | 
|||
| 
 최대 4  | 
 1  | 
 0.6  | 
 프와송의 비  | 
 0.15  | 
| 
 최대 7  | 
 프와송의 비  | 
 0.15  | 
 허용되지 않음  | 
|
| 
 최대 12  | 
 허용되지 않음  | 
|||
| 
 12 초과  | 
||||
중심 거리 계수 f 5
톱니 간섭을 방지하기 위한 최소 중심 거리는 외부 스프로킷 지름 합의 1/2입니다. 소형 스프로킷을 적당히 감싸려면(약 120도) 대형 스프로킷의 외부 지름과 소형 스프로킷의 외부 지름 1/2을 더한 값을 최소 중심 거리로 사용하면 됩니다.
체인 피치의 30에서 50배를 중심 거리로 설정하는 것이 좋습니다. 체인 새그와 현수선 인장이 매우 커지기 때문에 가장 긴 실제 중심 거리는 체인 피치의 약 80배입니다.
중심 거리 계수는 설계 동력을 정정하며 정상 중심 거리와 실제 중심 거리 간의 차이를 고려합니다. 중심 거리 계수의 원인은 하중 인장 분포의 수정과 이로 인해 체인 피로에 미치는 영향에서 기인합니다. 기본적으로 중심 거리 계수는 다음과 같이 결정됩니다.
여기에서
| 
 f 5  | 
 중심 거리 계수[-]  | 
|
| 
 X B  | 
 정상 작동 조건의 체인 링크 수[-]  | 
|
| 
 X  | 
 연동에서의 실제 체인 링크 수[-]  | 
비율 계수 f 6
비율 계수는 설계 동력을 정정하며 정상 전동비와 실제 전동비 간의 차이를 고려합니다. 비율 계수의 원인은 하중 인장 분포의 수정과 이로 인해 체인 피로에 미치는 영향에서 기인합니다. 기본적으로 비율 계수는 실제 전동비와 관련하여 다음 차트와 같이 결정됩니다.
전동비는 연동 및 연계 스프로킷의 톱니 수에 따라 지정됩니다.
z 1 < z 2 인 경우 i = z 2 / z 1
z 1 > z 2 인 경우 i = z 1 / z 2
여기에서
| 
 f 6  | 
 비율 계수[-]  | 
|
| 
 i  | 
 전동비[-]  | 
|
| 
 z 1  | 
 연동 스프로킷의 톱니 수[-]  | 
|
| 
 z 2  | 
 연계 스프로킷의 톱니 수[-]  | 
서비스 수명 계수 f 7
서비스 수명 계수는 설계 동력을 정정하며 정상 서비스 수명과 필요 서비스 수명 간의 차이를 고려합니다. 기본적으로 비율 계수는 다음과 같이 결정됩니다.
여기에서
| 
 f 7  | 
 서비스 수명 계수[-]  | 
|
| 
 L h  | 
 필요 서비스 수명[시간]  | 
|
| 
 L hB  | 
 정상적인 예상 서비스 수명[시간]  | 
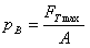
체인 베어링 영역에서의 압력 분석
체인 연동 서비스 동안 변동 인장 하중은 핀과 부시 사이의 접촉 표면에 작용하여 체인 베어링 영역 압력의 특정 크기를 발생시킵니다. 이 압력이 체인 베어링 영역에서의 허용 압력을 초과하는 경우 체인 서비스 수명이 크게 단축됩니다. 체인 베어링 영역에서의 실제 압력은 다음과 같이 체인 스팬에서의 최대 인장을 사용하여 계산됩니다.
여기에서
| 
 p B  | 
 체인 베어링 영역에서의 실제 압력[Pa]  | 
|
| 
 F Tmax  | 
 주어진 체인 스팬에서의 최대 인장[N]  | 
|
| 
 A  | 
 체인 베어링 영역[m 2 ]  | 
체인 베어링 영역 A
체인 베어링 영역은 내부 체인 링크 폭과 핀 지름에 의해 정의됩니다. 실제 값은 XML 데이터 파일 내에 각 체인에 대해 정의됩니다.
| 
 
  | 
 A = b 2 d 2  | 
| 
 여기에서  | 
|
| 
 A 체인 베어링 영역[m 2 ]  | 
|
| 
 b 2 내부 체인 링크 폭[m]  | 
|
| 
 d 2 체인 핀 지름 [m]  | 
체인 베어링 영역에서의 허용 압력 p 0
아래 차트에 표시된 체인 베어링 영역에서의 허용 압력 값은 정상 작동 조건에만 적용됩니다. 특정 작동 조건에서는 값이 특정 마찰계수(λ)에 의해 수정되는데, 이 값이 전체 허용 압력이 됩니다. 그러면 전체 허용 압력을 체인 베어링 영역에서의 실제 압력과 비교할 수 있습니다.
여기서 지정된 허용 압력을 일반 강 체인에 사용할 수 있습니다. 다른 재질로 만든 체인의 경우에는 허용 압력을 적절히 조정해야 할 수 있습니다.
위 차트에서 얻은 허용 압력도 체인 구성 계수에 의해 수정되므로 허용 압력의 양은 다음과 같이 정의됩니다.
p 0 = p B0 φ
여기에서
| 
 p 0  | 
 정상 작동 조건에서 체인 베어링 영역의 허용 압력[Pa]  | 
|
| 
 p B0  | 
 정상 작동 조건에서 체인 베어링의 특정 허용 압력[Pa]  | 
|
| φ | 
 체인 구성 계수[-]  | 
특정 마찰계수 λ
특정 마찰계수는 체인 베어링 영역에서의 허용 압력을 정정합니다. 계수 크기는 실제 작동 조건과 정상 작동 조건 간의 차이에 따라 다르며 다음과 같이 정의됩니다.
여기에서
| λ | 
 특정 마찰계수[-]  | 
|
| 
 f 1  | 
 서비스 계수 [-]  | 
|
| 
 f 4  | 
 윤활 계수[-]  | 
|
| 
 f 5  | 
 중심 거리 계수[-]  | 
|
| 
 f 6  | 
 비율 계수[-]  | 
|
| 
 f 7  | 
 서비스 수명 계수[-]  |