Informacje o geometrii równania obserwacji azymutu/czwartaka

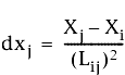
Zmiany współrzędnych obserwacji wyrażone są za pomocą aproksymacji szeregiem Taylora równania obserwacji azymutu/czwartaka:

i

gdzie

Na poniższym rysunku przedstawiono geometrię równania obserwacji azymutu/czwartaka: