Piasta rozcięta dwustronnie — wzory w przypadku obliczeń angielskich

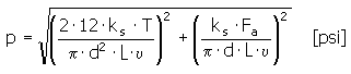
Nacisk dla kontaktu

Minimalna długość piasty

Zalecane wartości: L = (0,6 - 3) d

Siła przenoszona przez jedną śrubę

Kontrola wytrzymałości

p p A

gdzie:

 

F a

siła osiowa [funt]

 

T

moment obrotowy [funt stopa]

 

d

średnica wału [cal]

 

p

nacisk dla kontaktu w połączeniu [psi].

 

p A

dopuszczalny nacisk [psi]

 

L

długość piasty [cal]

  υ

współczynnik zacisku υ = 0,008 do 0,1 [-]

 

k s

bezpieczeństwo poślizgu [-]

 

F

siła przenoszona przez jedną śrubę [funt]

 

F s

siła przenoszona przez wszystkie śruby [funt]

 

i

całkowita liczba śrub [-]