Ten układ zbrojenia jest podzielony na dwie strefy.
Strefa dolna
Zbrojenie należące do tej grupy jest rozłożone bezpośrednio nad zbrojeniem głównym w następującej strefie.
h 0.4, jeśli h ≤ l
0.4 *l jeśli h > l
Jeśli zbrojenie główne — dolne jest rozłożone w strefie na wysokości = 0.15*h lub 0.15 *l, to zbrojenie poziome jest ograniczone z góry i wynosi 0.55 * h lub 0.55 *l.
Symbole:
Ahi — przekrój poprzeczny zbrojenia poziomego w obrębie warstwy.
shi — rozstaw zbrojenia.
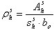
Procent zbrojenia poziomego jest równy
.
Ponadto, poniższe warunki powinny zostać sprawdzone.
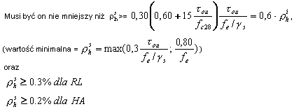
, to zbrojenie powinno być rozłożone wzdłuż całej długości przęsła
, to ta część zbrojenia, której minimalna ilość jest równa =
, jest rozłożona wzdłuż całej długości przęsła, podczas gdy pozostała część zbrojenia (w postaci wkładek) ma być rozpowszechniana w strefie przypodporowej (w obrębie strefy dolnej), wzdłuż długości 0.3 *lo (od długości podpory). Strefa górna
To zbrojenie jest rozłożone wzdłuż całej długości przęsła zgodnie z następującymi.
Symbole:
Ahs — przekroju poziomego zbrojenia w warstwie.
shs — przęsło zbrojenia.
Procent zbrojenia poziomego jest równy

W przypadku, gdy h > l, należy zastosować zbrojenie rozłożone równomiernie w strefie między l i 1.5*l. Procent tego zbrojenia powinien być mniejszy niż maksymalny (0.5*rhs; rhs (min)).