Dodawanie okablowania do projektu jest opcjonalne. Można utworzyć obwody bez okablowania, ponieważ program Revit zachowuje informacje skojarzone z takimi obwodami.
Stałe okablowanie można dodać, używając jednej z następujących metod:
Przekształć w przewód. Po utworzeniu stałego okablowania przewody pozostają widoczne w widoku, gdy obwód nie jest zaznaczony.
panel Elektryczne.
Można użyć właściwości obwodu, aby określić typ przewodów zastosowanych w obwodzie. Zobacz Właściwości obwodu.
Przekształcanie obwodu na okablowanie stałe
Wybierz typ okablowania dla obwodu
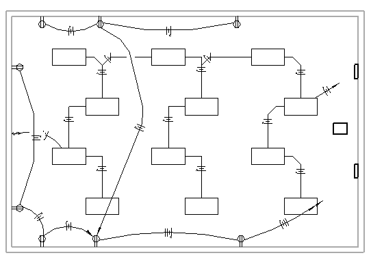
Okablowanie łukowe jest często używane do reprezentowania przewodów ukrytych w ścianach, sufitach lub stropach.
Okablowanie fazowane jest często używane do reprezentowania przewodów odsłoniętych.
W poniższym przykładzie okablowanie łukowe łączy gniazda, natomiast okablowanie fazowane łączy oprawy oświetleniowe. Biegi macierzyste są dodawane automatycznie w celu wskazania połączenia z panelem.
