Torque transferido
onde:
|
P |
potência [kW] |
|
|
n |
velocidade [rpm] |
Cálculo do diâmetro de eixo mínimo
1. diâmetro interno do eixo d h > 0
a)
b) se d min ≤d h -> d min = 1,1 d h [mm]
c) se d min ≤ 1,5 d h -> d min = 1,5 d h [mm]
2. diâmetro interno do eixo d h = 0

onde:
|
d mín |
diâmetro mínimo do eixo [mm] |
|
|
d h |
diâmetro interno do eixo [mm] |
|
|
T |
torque [Nm] |
|
|
K a |
fator de aplicação |
|
|
K f |
fator de vida útil de fadiga |
|
|
S v |
segurança desejada |
|
|
τ A |
Tensão de corte suportada |
Cálculo geral
|
|
a faixa de atividade da força no eixo |
|
h k = h - h s - 2 s [mm] |
a faixa de atividade da força no cubo |
![]() |
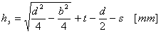
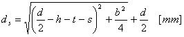
diâmetro do eixo da faixa da atividade da força |
![]() |
diâmetro do cubo da faixa de atividade da força |
|
|
força no eixo |
|
|
força no cubo |
|
onde: |
|
T |
torque [Nm] |
|
|
F s |
força no eixo [N] |
|
|
F h |
força no cubo [N] |
|
|
K a |
fator de aplicação |
|
|
K f |
fator de vida útil de desgaste |
|
|
K w |
fator de aplicação |
|
|
K m |
fator de distribuição da carga |
|
|
S v |
segurança desejada |
|
|
d |
diâmetro do eixo [mm] |
|
|
d s |
diâmetro do eixo onde atua a força F s [mm] |
|
|
d h |
diâmetro do eixo onde atua a força F d [mm] |
|
|
N |
número de ranhuras [-] |
|
|
h |
altura chanfrada |
|
|
h s |
altura de ponto de força de ação no eixo [mm] |
|
|
h h |
altura de ponto de força de ação no cubo [ mm] |
|
|
b |
largura chanfrada |
|
|
t |
profundidade chanfrada no eixo [mm] |
|
|
s |
chanfro |
|
|
p Dmins |
pressão mínima suportada (ranhura, eixo) [MPa] |
|
|
p Dminh |
pressão mínima suportada (ranhura, cubo) [MPa] |
Comprimento mínimo de chave para transferir o torque
|
1. Conexão fixa: |
a) |
|
b) |
|
|
L mín = mín(L mins , L minh ) |
|
|
2. Conexão flexível: |
a) |
|
b) |
|
|
L mín = mín(L mins , L minh ) |
|
|
onde: |
|
F s |
força no eixo [N] |
|
|
F h |
força no cubo [N] |
|
|
K a |
fator de aplicação |
|
|
K f |
fator de vida útil de desgaste |
|
|
K w |
fator de aplicação |
|
|
K m |
fator de distribuição da carga |
|
|
S v |
segurança desejada |
|
|
d |
diâmetro do eixo [mm] |
|
|
N |
número de ranhuras [-] |
|
|
h s |
altura de ponto de força de ação no eixo [mm] |
|
|
h h |
altura de ponto de força de ação no cubo [ mm] |
|
|
p Dmins |
pressão mínima suportada (ranhura, eixo) [MPa] |
|
|
p Dminh |
pressão mínima suportada (ranhura, cubo) [MPa] |
Pressão mínima suportada
|
1. Conexão fixa: |
a) |
|
b) |
|
|
2. Conexão flexível: |
a) |
|
b) |
|
|
onde: |
|
F s |
força no eixo [N] |
|
|
F h |
força no cubo [N] |
|
|
K a |
fator de aplicação |
|
|
K f |
fator de vida útil de desgaste |
|
|
K w |
fator de aplicação |
|
|
K m |
fator de distribuição da carga |
|
|
S v |
segurança desejada |
|
|
d |
diâmetro interno da seção chanfrado [mm] |
|
|
N |
número de ranhuras [-] |
|
|
h s |
altura de ponto de força de ação no eixo [mm] |
|
|
h h |
altura de ponto de força de ação no cubo [ mm] |
|
|
l f |
comprimento ativo da chave [mm] |
Verificação de resistência
p mins ≤ p Ds
p minh ≤ p Dh
onde:
|
p mins |
pressão de corte mínima calculada no eixo [MPa] |
|
|
p minh |
pressão de corte mínima calculada no cubo [MPa] |
|
|
p Ds |
pressão suportada no eixo [MPa] |
|
|
p Dh |
pressão suportada no cubo [MPa] |
Cálculo simplificado
Comprimento mínimo de chave para transferir o torque
|
1. Conexão fixa: |
![]() |
|
2. Conexão flexível: |
![]() |
|
onde: |
|
T |
torque [Nm] |
|
|
K a |
fator de aplicação |
|
|
K f |
fator de vida útil de desgaste |
|
|
K w |
fator de aplicação |
|
|
K m |
fator de distribuição da carga |
|
|
S v |
segurança desejada |
|
|
d |
diâmetro do eixo [mm] |
|
|
N |
número de ranhuras [-] |
|
|
h |
altura chanfrada |
|
|
s |
chanfro |
|
|
h st |
altura de conexão h st = h - 2 s [mm] |
|
|
p Dmin |
pressão suportada na superfície de suporte do eixo, ranhura ou cubo [MPa] |
Pressão suportada
|
1. Conexão fixa: |
![]() |
|
2. Conexão flexível: |
![]() |
|
onde: |
|
T |
torque [Nm] |
|
|
K a |
fator de aplicação |
|
|
K f |
fator de vida útil de desgaste |
|
|
K w |
fator de aplicação |
|
|
K m |
fator de distribuição da carga |
|
|
S v |
segurança desejada |
|
|
d |
diâmetro do eixo [mm] |
|
|
N |
número de ranhuras [-] |
|
|
h |
altura chanfrada |
|
|
s |
chanfro |
|
|
h st |
altura de conexão h st = h - 2 s [mm] |
|
|
l f |
comprimento ativo da chave [mm] |
Verificação de resistência
p mín ≤ p Ds
p mín ≤ p Dh
onde:
|
P mín |
pressão mínima calculada h/2 [MPa] |
|
|
p Ds |
pressão suportada no eixo [MPa] |
|
|
p Dh |
pressão suportada no cubo [MPa] |