As seções com alma corrugada são seções em I com almas corrugadas de paredes finas. São seções da família de seções SIN ou com dimensões definidas pelo usuário.
Só é possível projetar os membros com alma corrugada de acordo com a norma de aço polonesa.
Os seguintes parâmetros especificam uma seção com alma corrugada:
- No banco de dados: seções padrão com mesas idênticas (b 1 = b 2 , t f1 = t f2 ) e os seguintes símbolos da espessura da alma:
Todas as dimensões são da família de seções SIN; portanto, os campos para definir as dimensões não estão disponíveis.
- Com valores definidos pelo usuário:
Altura total da seção: H = h + t f1 + t f2
Área da seção transversal das mesas
Af = b1 * tf1 + b2 * tf2
Área da seção transversal de uma alma
Aw = h * tw
Área total da seção
A = Af + Aw
Áreas de seção transversal eficazes para cisalhamento
Ay = b1 * tf1 + b2 * tf2 – Área da seção transversal das mesas
Az = Aw * m / s – Área da seção transversal reduzida da alma
Momento estático
S = b1 * tf1 * (h + tf2 + tf1 / 2) + b2 * tf2 * tf2 / 2
Posição do centroide da seção

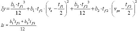
Momentos de inércia em torno dos eixos Y e Z, respectivamente, de uma seção constituída somente de mesas

Momento de torção de inércia
G= Gf +Gw
G f = r s * A f * l
Gw = r s * Aw * lw = r * Aw * l/m * s
em que:
A f – Área da seção transversal das mesas
A w – Área da seção transversal da alma
r s – Peso unitário de aço
l – Comprimento do membro
Iw – Comprimento desenvolvido da placa da alma: lw = l / m * s
m – Comprimento projetado de uma onda
s – Comprimento desenvolvido de uma onda.