Use essa opção para ativar a análise detalhada de barras de madeira. Acesse a opção clicando no botão Detalhado na caixa de diálogo com os resultados detalhados para a norma EC5.
Os seguintes cálculos são executados com base nos requisitos descritos no EUROCÓDIGO 5:
Os seguintes cálculos são executados com base nos requisitos descritos no EUROCÓDIGO 5:
Cada um dos cálculos de análise das barras é executado de forma independente; portanto, cada um deles pode ser iniciado separadamente.
A caixa de diálogo apresenta três guias:
Uma carga transversal é definida ao longo do comprimento da viga. Após calcular o valor do coeficiente Kc,90, é verificado um valor de tensão para a compressão transversal (consulte a norma EC5 5.1.5).
As aberturas são definidas ao longo do comprimento da viga nos seguintes campos:
Posição (a posição das aberturas no comprimento da viga deve ser especificada em coordenadas reais ou relativas).
Diâmetro de abertura. Com base nos valores definidos dos diâmetros de abertura, o valor do coeficiente Khol é determinado:
As aberturas são definidas ao longo do comprimento da viga nos seguintes campos:
Posição (a posição das aberturas no comprimento da viga deve ser especificada em coordenadas reais ou relativas).
Diâmetro de abertura. Com base nos valores definidos dos diâmetros de abertura, o valor do coeficiente Khol é determinado:
se b < = 90 mm, então
se D/h <= 0,1 : Khol = 1-0,555 (D/h) 3
se D/h >0,1 : Khol = 1,62/ (1,8+D/h) 2
se b > 90 mm, então
se D/h <= 0,1 : Khol = (1-0,555 (D/h) 3 ) x (90/b) 2
se D/h >0,1 : Khol = (1,62/ (1,8+D/h) 2 x (90/b) 2
Após definir o valor do coeficiente Khol, a condição de cisalhamento será verificada (consulte a norma EC5 5.1.7).
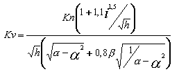
O coeficiente Kv é calculado com base nos valores de parâmetros geométricos de uma extremidade da viga (duas possibilidades são mostradas abaixo) da seguinte fórmula:

em que:
i= Lb/(h-he) (i=0 para o primeiro tipo de apoio)
a = he/h
b=La/h

Após calcular o valor do coeficiente Kv, a condição de cisalhamento é verificada (consulte a norma EC5 5.1.7).
Cada guia contém a opção Incluir nos cálculos. Se essa opção não estiver selecionada, a análise (cisalhamento transversal, por exemplo) não será executada e todas as opções na guia estarão inacessíveis. Se a opção Incluir nos cálculos estiver selecionada em qualquer uma das guias, a análise (cisalhamento transversal, por exemplo) será executada após vários parâmetros terem sido definidos.
Após definir os parâmetros disponíveis na caixa de diálogo e clicar no botão Calcular, a análise adicional dos membros de madeira será realizada. Quando for concluída, será exibida uma nota de cálculo com os resultados dos cálculos.