A teoria dos elementos de cabo no Robot é baseada na teoria geral dos cabos com um pequeno valor de côncavo de cabo. De acordo com essa teoria, a rigidez do cabo é uma função implícita dos seguintes parâmetros: rigidez da tensão do cabo (E*F), tensão do cabo, deslocamentos do suporte do cabo e carga transversal em ambas as direções (p y , p z ).
Devido à não linearidade do elemento de cabo, sua definição na estrutura requer a aplicação de métodos iterativos de análise de estrutura.
Recursos de implementação de cabo no Robot:
Limitações:
Cargas de cabo
Os seguintes tipos de carga se aplicam aos elementos de cabo:
Os seguintes tipos de carga não se aplicam aos elementos de cabo:
SINTAXE (a ser inserida por um usuário em um arquivo de texto)
PROpriedades
(<lista de elementos>) CABos AX=<área da seção> (E=<módulo de Young>)
(RO=<peso da unidade>) [TENsão = <s> | FORça = <h> | COMprimento = <l>
| [ DILatação = <d> (RELativa) ]]
em que:
TENsão – Tensão normal (calculada em relação ao banzo) a ser obtida para o caso de carga de montagem.
FORça – Força de tensão (calculada em relação ao banzo) a ser obtida para os casos de carga da montagem.
COMprimento – Comprimento inicial do cabo.
DILatação – Diferença entre o comprimento inicial do cabo e a distância entre os nós de suporte. (Se for um valor positivo – o comprimento é maior que a distância entre os nós; se negativo – o comprimento é menor que a distância entre os nós).
DILatação RELativa – Proporção da diferença entre o comprimento inicial do cabo e a distância entre os nós de suporte para a distância entre os nós de suporte. (Se for um valor positivo – o comprimento é maior que a distância entre os nós; se negativo – o comprimento é menor que a distância entre os nós).
O Robot inclui o estágio de montagem da estrutura. É recomendado que esse seja o primeiro caso de carga. A sintaxe para tal caso de carga é a seguinte:
CASo
MONtagem
[descrição da carga]
Para este caso de carga:
TENsão = s0 (tensão inicial do cabo)
FORça = t0 (força de tensão inicial no cabo)
Durante a análise de casos sucessivos de carga da estrutura no estado de equilíbrio, as cargas do caso de montagem aplicadas à estrutura são consideradas. Os deslocamentos atribuídos a esse caso são usados como base para análise adicional. As forças de tensão predefinidas são alteradas, o que significa que, após a montagem, o cabo é ancorado.
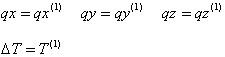
Nesta etapa, a equação (1) descreve a transição de:
q0x = q0y = q0z = 0 (sem carga)
H0 = 0 (sem tensão de cabo)
T0 = 0
para o qual o comprimento é igual a L1= :
|
1. |
longo, quando (long ≠ 0) – se o valor COMprimento for especificado numa definição de cabo |
|
2. |
[distância (A, B) + dilatação], quando a dilatação é definida em um sistema absoluto – se o valor DILatação for especificado em uma definição de cabo |
|
3. |
[distância (A, B)*(1+dilatação)], quando a dilatação é definida em um sistema relativo – se o valor DILatação RELativa for especificado em uma definição de cabo |
|
4. |
[distância (A, B)], quando (dilatação = 0) e (long = 0) – se não houver nenhuma palavra-chave como: COMprimento, DILatação ou DILatação RELativa em uma definição de cabo ou uma das seguintes palavras-chave: FORça ou TENsão existir. |
para

L2 – Distância entre os nós de suporte A e B do cabo deformado:
L2 = distância (A+U A , B+U B )
em que:
U A – Deslocamento do ponto A
U B – Deslocamento do ponto B
São possíveis várias situações para a primeira montagem de caso de carga:
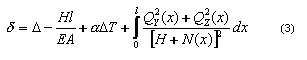
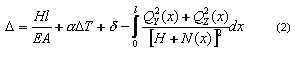
Na equação (1):
O valor l é a distância entre o nó inicial e final do cabo.
Na equação (2), é possível atribuir o alongamento inicial do cabo essencial para obter a força H necessária:
em seguida, resolvendo a equação (4) de acordo com a força H
e, repetindo através do sistema de equações, o valor final da força de montagem será encontrado.
É igual a:
.
L2 = comprimento (A, B)
resolvendo a equação (4), o valor inicial da força necessária para a ancoragem de cabo entre os suportes será encontrado.
Após completar a análise da estrutura, os resultados para elementos de cabo são semelhantes aos obtidos para elementos de barra; no entanto, algumas diferenças permanecem. As diferenças incluem:
Esses resultados são úteis para projetar o estágio de montagem. Eles estão disponíveis no módulo Resultados selecionando o comando: Tensões > Parâmetros > Resultados para os elementos de cabo no estágio de montagem.
em que:
N – Força aplicada ao longo da tangente do cabo
Componentes de força FX, FY, FZ – N projetados em direções de eixos sucessivos do sistema de coordenadas local
Quando um caso arbitrário (i) é definido após o primeiro caso de montagem, o comportamento do cabo é obtido solucionando a equação (1). A iteração de uma equação é executada de acordo com as seguintes suposições:
A carga do primeiro caso de carga é adicionada automaticamente à carga no caso (i).
A força de tensão H é tratada como uma quantidade desconhecida.
Consulte também: