Параметры сейсмического расчета конструкции зависят от выбора сейсмических норм, по которым производится расчет влияния сейсмических нагрузок на конструкцию.
Выберите американские сейсмические нормы IBC (Международные строительные нормы) 2009 или 2012 либо ASCE 7 (Минимальные расчетные нагрузки и связанные критерии для зданий и сооружений) в диалоговом окне Описание нового нагружения или нажмите Параметры в диалоговом окне Типы расчета.

Чтобы выполнить сейсмический расчет в соответствии с правилами норм, определите следующие параметры:
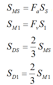
Коэффициенты типа местности Fф и Fv интерполируются на основании параметров S1 и SS.
Проектные параметры спектрального ускорения рассчитываются по следующим формулам:

При нажатии на кнопку Определение эксцентриситета откроется диалоговое окно, где можно задать, как учитывать эксцентриситет масс при сейсмическом расчете.
Выберите Базовый сдвиг чтобы открыть диалоговое окно Базовый сдвиг. В этом окне можно выбрать, каким образом должна учитываться основная поперечная сила: расчет в соответствии с требованиями сейсмических норм ASCE 7-05 Section 12.8 или определение вручную.
В нижней части диалогового окна находятся две кнопки: Определение направления и Фильтры.
Подробнее о данном методе расчета конструкции можно узнать в указанных нормах.