Special Section - with a Corrugated Web

Sections with a corrugated web are I-sections with thin-walled, corrugated webs. They are sections from the SIN section family, or with user-defined dimensions.

Members with a corrugated web can be designed only in accordance with the Polish steel code.

The following parameters specify a section with a corrugated web:

Geometrical properties

Total section height: H = h + t f1 + t f2

Cross-sectional area of flanges

Af = b1 * tf1 + b2 * tf2

Cross-sectional area of a web

Aw = h * tw

Total section area

A = Af + Aw

Cross-sectional areas effective for shear

Ay = b1 * tf1 + b2 * tf2 - Cross-sectional area of flanges

Az = Aw * m / s - Reduced cross-sectional area of the web

Properties calculated without considering the web

Static moment

S = b1 * tf1 * (h + tf2 + tf1 / 2) + b2 * tf2 * tf2 / 2

Position of the section centroid

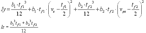
Moments of inertia about Y and Z axes, respectively, of a section made only of flanges

Torsional moment of inertia

Self-weight

G= Gf +Gw

G f = r s * A f * l

Gw = r s * Aw * lw = r * Aw * l/m * s

where:

A f - Cross-sectional area of flanges

A w - Cross-sectional area of the web

r s - Unit weight of steel

l - Member length

Iw - Developed length of the web plate: lw = l / m * s

m - Projected length of a wave

s - Developed length of a wave.