Wind loads simulation convergence

Wind simulation does not result in totally stable results as it is a dynamic process changing over time.

In order to address this problem, the program measures the resulting total forces convergence over a specific time period.

Total Forces

The resultant forces are monitored in three directions:
  • In the direction of the wind: Fx_wind.
  • Horizontally and perpendicularly to the wind direction: Fy_wind.
  • In the vertical direction: Fz_wind.

Scaling Forces

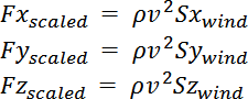
The resultant forces depend on the model size. To properly scale the resultant forces, the program uses the dynamic pressure q and the surface values Sx_wind,Sy_wind, and Sz_wind.

The surface values are used to scale the corresponding forces.

This approach allows for the neutralization of disproportions of the model in the wind directions x, y and z.

These relative values are calculated as follows:
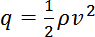
  • Where:
    • q represents the dynamic pressure in pascals.
    • ro represents the fluid density in kg/m3 .
    • v represents the fluid velocity in m/s.
  • The surface Sx_wind corresponds to the area covered by the projection of all the triangles of the model on the plane perpendicular to the X wind direction.
  • The surface Sy_wind corresponds to the area covered by the projection of all the triangles of the model on the plane perpendicular to the Y wind direction.
  • The surface Sz_wind corresponds to the area covered by the projection of all the triangles of the model on the plane perpendicular to the Z wind direction.

The scaling forces are calculated as follows:


Scaling forces

Assessment of resultant forces stabilization

To measure the total forces convergence over a specific time period, the resultant forces Fx_wind, Fy_wind, and Fz_wind are calculated and stored for a number of steps n, and then the maximum change for a given moment is calculated as follows:


Total forces convergence

Where Fix_wind, Fiy_wind, and Fiz_wind represent the stored values of Fx_wind, Fy_wind, and Fz_wind for a given step, and for i=1 to n.

These maximum force changes are then scaled by Fx_scaled, Fy_scaled, and Fz_scaled respectively and displayed as a percentage.

The final metric is the maximum of these three scaled values:

Final metric

Where Delta Fscaled = 0,5%, i.e. the default load deviation factor.

Note: In order for the metric to be fully valid, at least n steps of the simulation must be performed.

n is the number of simulation steps for which Fx_wind, Fy_wind, and Fz_wind are stored for comparison with the current step. The default value for n is 10.