Calculation of initial deflection for imperfections according to Eurocode 3

For the code: EC3 (ENV 1993-1-:1992), the initial deflection is calculated from the following formula:

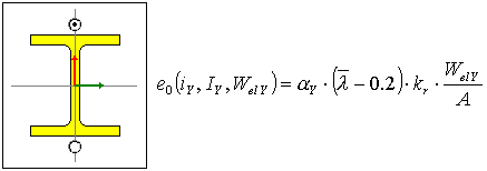
The calculation of deflection along the Z axis (buckling - Y-Y axis):

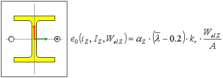
The calculation of deflection along the Y axis (buckling - Z-Z axis):

Where:

A - cross-sectional area (A = SX)

a - Eurocode 3 table 5.5.3 and 5.5.1

- reduced slenderness, Eurocode 5.5.1.2 formula (5.46)

Because of the complexity of the calculations, it has been assumed that:

Re [Pa] - limit of elasticity of a material

l = l / i

Where:

l = L * buckling length coefficient

L - member length

table 5.5.1

ks is given in table 5.5.1 in dependence on gM1; the values given in this table for gM1 = 1.1 are always used in calculations:

For the code (EN 1993-1:2005) - tabular method, the initial deflection is calculated according to table 5.1 article 5.3.2 (3b). A value of deflection depends on the member length and a selected analysis type: elastic or plastic.