| 
 | 對於每個皮帶輪 | 
| F 2 - F 1 + F p = 0 | |
| 
 | |
| 
 | |
| 
 | 
對於驅動皮帶輪
 
| 
 | v ≤ v max | 
| 
 | f b ≤ f max | 
 
F c = mv 2
F Tmax = k 1 F p + F c
F 1 = F tmax
F 2 = F 1 - F p
對於單個從動皮帶輪和惰輪
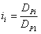
i - 皮帶輪的指數
F Pi = P xi F p
 
 
 
F 1i = F 2i-1
F 2i = F 1i + F p i
其中:
  適用於時規皮帶輪
 適用於時規皮帶輪 
  適用於平皮帶輪
 適用於平皮帶輪 
對於整個皮帶傳動裝置
 
需要的皮帶安裝張力根據驅動皮帶輪的力按如下所示確定
 
帶有惰輪的功率傳輸的範例
 
| 驅動皮帶輪 | 平惰輪 | 從動皮帶輪 | 
| P x1 = 1 | P x2 = 0 | P x3 = 1 | 
| 
 | 
 | F P3 = P x3 F p | 
| 
 | 
 | 
 | 
| 
 | 
 | 
 | 
| 
 | F 12 = F 21 | 
 | 
| 
 | F 22 = F 12 + F p2 = F 12 | 
 | 
| F c = m v 2 | 
 | 
 | 
| F Tmax = k 1 F p + F C | - | F 13 = F 22 | 
| F 11 = F Tmax | - | F 23 = F 13 + F p3 = F 11 | 
| F 21 = F 11 - F p | - | 
 | 
| 
 | - | - | 
所用變數的意義:
| F p | 有效拔模 [N] | 
| F 1 | 指定皮帶輪輸入端的皮帶拉力 [N] | 
| F 2 | 指定皮帶輪輸出端的皮帶拉力 [N] | 
| z | 指定皮帶輪的輪齒數目/帶齒數目 [-] | 
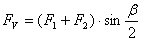
| β | 接觸弧形/側面傾斜度的齒角 [deg] | 
| P | 要傳輸的功率 [W] | 
| P R | 給定傳輸配置的皮帶額定功率 [W] | 
| c L | 服務係數 [-] | 
| β | 接觸弧 [deg] | 
| T | 作用於給定皮帶輪的扭矩 [Nm] | 
| n | 指定皮帶輪的速度 [rpm] | 
| D p | 皮帶輪節圓直徑 [m] | 
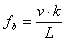
| v | 皮帶速度 [m/s] | 
| k | 皮帶傳輸中的皮帶輪數目 [-] | 
| L | 皮帶節距長度 [m] | 
| P | 要傳輸的功率 [W] | 
| m | 指定寬度的特定皮帶重量 [Kg/m] | 
| k 1 | 皮帶拉力係數 [-] | 
| F p | 有效拔模 [N] | 
| F c | 離心力 [N] | 
| F t | 最小皮帶安裝拉力 [N] | 
| P xi | 給定皮帶輪的功率比 [-] | 
| D pi | 皮帶輪節圓直徑 [m] | 
| i | 給定皮帶輪的傳輸比 (速率) [-] | 
| T i | 作用於給定皮帶輪的扭矩 [Nm] | 
| η | 效率 [-] | 
| p b | 周節 [m] | 
| D | 平皮帶輪標稱直徑 [m] | 
| H | 皮帶高度 [m] | 
| h T | 帶齒高度 [m] | 
| a | 節距線偏移 [m] |