皮帶長度在基準系統或有效系統中確定。因此,首先要決定每個皮帶輪的基準或有效直徑。皮帶軌線基於個別皮帶輪的位置。調整滑動皮帶輪位置,以達到標準皮帶長度要求。計算使用重複解決方案來尋找最接近所需 (或目前) 滑動皮帶輪位置的適當滑動皮帶輪位置。
皮帶輪直徑
| 
 | 有槽皮帶輪 | 
| D e = D w + 2 h w | |
| D p = D w + 2 a | |
| D d = D w | |
| 
 | 平皮帶輪順時鐘方向 | 
| D e = D + 2 h | |
| D p = D + 2 (h - h w + a) | |
| D d = D + 2(h - h w ) | |
| 
 | 平皮帶輪逆時鐘方向 | 
| D e = D | |
| D p = D + 2 (h w - a) | |
| D d = D + 2 h w | 
具有 2 個皮帶輪的功率傳輸範例
此範例使用基準系統。
 
接觸弧
 
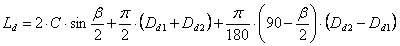
基準皮帶長度
 
中心距離
 
以下公式是建議的在決定新驅動的中心距離時的公式
0.7 (D d1 + D d2 ) ≤ C ≤ 2(D d1 + D d2 )
所用變數的意義:
| D W | 標稱直徑 (基準或有效) [m] | 
| D e | 有效的 (外側) 皮帶輪直徑 [m] | 
| h w | 標稱高度 (對於有效系統,h w = 0) [m] | 
| a | 節距線偏移 (對於有效系統為負) [m] | 
| D | 平皮帶輪標稱外徑 [m] | 
| h | 皮帶高度 [m] | 
| D d | 皮帶輪基準直徑 [m] | 
| C | 中心距離 [m] | 
| β | 接觸弧 [deg] | 
| L d | 基準皮帶長度 [m] |