 
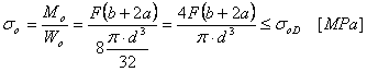
彎曲應力

桿中的壓力

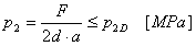
U 形夾中的壓力

剪切應力

其中:
| F | 力 [N] | |
| σ 0 | 彎曲應力 [MPa] | |
| σ 0D | 容許的彎曲應力 [MPa] | |
| M 0 | 彎矩 [N mm] | |
| W 0 | 彎曲剖面係數 [mm 3 ] | |
| τ | 剪切應力 [MPa] | |
| τ D | 允許的剪切應力 [MPa] | |
| d | 銷直徑 [mm] | |
| p 1 | 桿中的壓力 [MPa] | |
| p 2 | U 形夾中的壓力 [MPa] | |
| p 1D | 桿中允許的壓力 [MPa] | |
| p 2D | U 形夾中允許的壓力 [MPa] | |
| b | 桿寬度 [mm] | |
| a | U 形夾臂寬 [mm] |