轉換的扭矩
 
   
 
其中:
| P | 傳遞的功率 [kW] | |
| n | 速度 [min -1 ] | 
槽支撐表面上的壓力
1. 軸內徑 d h > 0
a)  
 
b) 如果 d min ≤d h -> d min = 1.1 d h [mm]
c) 如果 d min ≤ 1.5 d h -> d min = 1.5 d h [mm]
2. 軸內徑 d h = 0
 
   
 
其中:
| d min | 最小軸直徑 [mm] | |
| d h | 軸內徑 [mm] | |
| T | 扭矩 [Nm] | |
| K a | 應用係數 | |
| K f | 疲勞壽命係數 | |
| S v | 理想的安全度 | |
| τ Al | 允許的剪應力 | 
用於轉換扭矩的最小栓槽長度
| 1. 固定接頭: |  | 
| 2. 彈性接頭: |  | 
| 其中: | 
| T | 扭矩 [Nm] | |
| K a | 應用係數 | |
| K f | 磨損壽命係數 | |
| K w | 應用係數 | |
| K m | 負載分配係數 | |
| S v | 理想的安全度 | |
| d s | 中間直徑 = (D + d) / 2 [mm] | |
| D | 槽剖面的外部直徑 [mm] | |
| d | 槽剖面的內部直徑 [mm] | |
| N | 槽數目 [-] | |
| h | 起槽高度 = (D - d) / 2 [mm] | |
| s | 倒角 [mm] | |
| h st | 接頭高度 h st = h - 2 s [mm] | |
| p Dmin | 軸或槽的支撐曲面上容許的壓力 [MPa] | 
允許的壓力
| 1. 固定接頭: |  | 
| 2. 彈性接頭: |  | 
| 其中: | 
| T | 扭矩 [Nm] | |
| K a | 應用係數 | |
| K f | 磨損壽命係數 | |
| K w | 應用係數 | |
| K m | 負載分配係數 | |
| S v | 理想的安全度 | |
| d s | 中間直徑 = (D + d) / 2 [mm] | |
| D | 槽剖面的外部直徑 [mm] | |
| d | 槽剖面的內部直徑 [mm] | |
| N | 槽數目 [-] | |
| h | 起槽高度 = (D - d) / 2 [mm] | |
| s | 倒角 [mm] | |
| h st | 接頭高度 h st = h - 2 s [mm] | |
| l f | 有效鍵長度 [mm] | 
強度檢查
p min ≤ p ds
p min ≤ p dh
其中:
| p min | 計算的最小 h/2 壓力 [MPa] | |
| p ds | 桿中容許的壓力 [MPa] | |
| p dh | 輪轂中容許的壓力 [MPa] | 
根據 CSN 01 4950 進行公制計算
彎曲應力
 
   
 
其中:
| s sf | 軸弦齒的齒根厚度 | s sf = 2.17m | |
| h | 軸齒高度 | h = 1.1m - 0.05 | 中心對準於齒側,平槽底 | 
| h = 1.28m - 0.05 | 中心對準於齒側,圓槽底 | ||
| h = 1.2 m | 中心對準於外部 | 
支撐槽曲面的槽上的壓力
 
   
 
其中:
| h n | 負載軸承的栓槽高度 | h n = 0.9 m - 0.05 | 
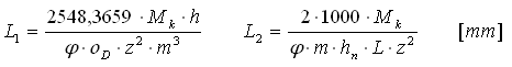
最小花鍵長度
L min = max {L 1 , L 2 } [mm]
其中:
 
   
 
建議值:L = (0.8 - 1.6) D
花鍵檢查
p ≤ p d and σ≤σ d
其中:
| P | 傳遞的功率 [kW] | |
| n | 速度 [min -1 ] | |
| z | 齒數 [-] | |
| p D | 齒的接觸面容許的壓力 [MPa] | |
| σ D | 容許的彎曲應力 [MPa] | |
| L | 有效栓槽長度 [mm] | |
| D | 額定花鍵直徑 [mm] | |
| ϕ | 齒側接觸係數 |