鏈長度由鏈連結數和鏈節距決定。鏈傳動裝置軌線取決於個別鏈輪位置和所需運動方向。
計算鏈長度的演算法使用鏈輪節圓直徑。每個滾子鏈傳動裝置鏈輪或惰輪的節圓直徑從以下方程式計算而來。
相應調整滑動鏈輪位置,以達到所需的鏈長度。計算使用線性代數和迭代解決方案來尋找適當的滑動鏈輪位置。
計算鏈長度時,應考量軌線由鏈節距長度處的線性區段組成,並且用實際多邊形取代弧。
節圓直徑
|  | 
 | |
| 其中: | ||
| D P | 節圓直徑 | |
| p | 鏈節距 | |
| z | 鏈輪齒數 | |
| 
 | D p = D + D r | |
| 其中: | ||
| D P | 節圓直徑 | |
| D | 標稱惰輪直徑 | |
| D r | 鏈滾子最大直徑 | |
具有兩個鏈輪的鏈傳動裝置的範例
 
為取得想要的中心距離而需要的鏈連結數
 
要求的鏈連結數舍入到最接近的偶數或奇數,然後將實際中心距離確定為
C = F p [ 2 X - (z 1 + z 2 )]
其中:
| 
 | |
| 
 | 
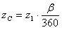
接觸角確定為
| 
 | 
小鏈輪的接觸齒數
| 
 | 
所用變數的含義:
| C 0 | 所需中心距離 [m] | 
| C | 實際中心距離 [m] | 
| p | 鏈節距 [m] | 
| z 1 | 驅動鏈輪的齒數 [-] | 
| z 2 | 從動鏈輪的齒數 [-] | 
| D P1 | 驅動鏈輪的節圓直徑 [m] | 
| D P2 | 從動鏈輪的節圓直徑 [m] | 
| X 0 | 要求的鏈連結數 [-] | 
| β | 接觸角 [deg] |