 
傳遞的扭矩

其中:
| P | 功率 [kW] | |
| n | 速度 [rpm] | 
計算最小軸直徑
1. 軸內徑 d h > 0
a)  
 
b) 如果 d min ≤d h -> d min = 1.1 d h [mm]
c) 如果 d min ≤ 1.5 d h -> d min = 1.5 d h [mm]
2. 軸內徑 d h = 0

其中:
| d min | 最小軸直徑 [mm] | |
| d h | 軸內徑 [mm] | |
| T | 扭矩 [Nm] | |
| K a | 應用係數 | |
| K f | 疲勞壽命係數 | |
| S v | 理想的安全度 | |
| τ A | 允許的剪應力 | 
一般計算
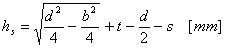
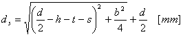
|  | 軸上的作用力範圍 | 
| h k = h - h s - 2 s [mm] | 輪轂上的作用力範圍 | 
|  | 作用力範圍的軸直徑 | 
|  | 作用力範圍的輪轂直徑 | 
|  | 軸上的力 | 
|  | 輪轂上的力 | 
| 其中: | 
| T | 扭矩 [Nm] | |
| F s | 軸上的力 [N] | |
| F h | 輪轂上的力 [N] | |
| K a | 應用係數 | |
| K f | 磨損壽命係數 | |
| K w | 應用係數 | |
| K m | 負載分配係數 | |
| S v | 理想的安全度 | |
| d | 軸直徑 [mm] | |
| d s | 力 F s 啟用處的軸直徑 [mm] | |
| d h | 力 F d 啟用處的軸直徑 [mm] | |
| N | 槽數目 [-] | |
| h | 起槽高度 | |
| h s | 軸上力的作用點高度 [mm] | |
| h h | 輪轂上力的作用點高度 [mm] | |
| b | 槽寬度 | |
| t | 軸中槽的深度 [mm] | |
| s | 「倒角」 | |
| p Dmins | 允許的最小壓力 (槽,軸) [MPa] | |
| p Dminh | 允許的最小壓力 (槽,輪轂) [MPa] | 
轉換扭矩的最小鍵長
| 1. 固定接頭: | a)  | 
| b)  | |
| L min = min(L mins , L minh ) | |
| 2. 彈性接頭: | a)  | 
| b)  | |
| L min = min(L mins , L minh ) | |
| 其中: | 
| F s | 軸上的力 [N] | |
| F h | 輪轂上的力 [N] | |
| K a | 應用係數 | |
| K f | 磨損壽命係數 | |
| K w | 應用係數 | |
| K m | 負載分配係數 | |
| S v | 理想的安全度 | |
| d | 軸直徑 [mm] | |
| N | 槽數目 [-] | |
| h s | 軸上力的作用點高度 [mm] | |
| h h | 輪轂上力的作用點高度 [mm] | |
| p Dmins | 允許的最小壓力 (槽,軸) [MPa] | |
| p Dminh | 允許的最小壓力 (槽,輪轂) [MPa] | 
允許的最小壓力
| 1. 固定接頭: | a)  | 
| b)  | |
| 2. 彈性接頭: | a)  | 
| b)  | |
| 其中: | 
| F s | 軸上的力 [N] | |
| F h | 輪轂上的力 [N] | |
| K a | 應用係數 | |
| K f | 磨損壽命係數 | |
| K w | 應用係數 | |
| K m | 負載分配係數 | |
| S v | 理想的安全度 | |
| d | 槽剖面的內部直徑 [mm] | |
| N | 槽數目 [-] | |
| h s | 軸上力的作用點高度 [mm] | |
| h h | 輪轂上力的作用點高度 [mm] | |
| l f | 有效鍵長度 [mm] | 
強度檢查
p mins ≤ p Ds
p minh ≤ p Dh
其中:
| p mins | 軸中最小的計算剪力壓力 [MPa] | |
| p minh | 輪轂中最小的計算剪力壓力 [MPa] | |
| p Ds | 桿中容許的壓力 [Mpa] | |
| p Dh | 輪轂中容許的壓力 [Mpa] | 
簡化的計算
轉換扭矩的最小鍵長
| 1. 固定接頭: |  | 
| 2. 彈性接頭: |  | 
| 其中: | 
| T | 扭矩 [Nm] | |
| K a | 應用係數 | |
| K f | 磨損壽命係數 | |
| K w | 應用係數 | |
| K m | 負載分配係數 | |
| S v | 理想的安全度 | |
| d | 軸直徑 [mm] | |
| N | 槽數目 [-] | |
| h | 起槽高度 | |
| s | 「倒角」 | |
| h st | 接頭高度 h st = h - 2 s [mm] | |
| p Dmin | 軸、槽或輪轂的支撐面上允許的壓力 [MPa] | 
允許的壓力
| 1. 固定接頭: |  | 
| 2. 彈性接頭: |  | 
| 其中: | 
| T | 扭矩 [Nm] | |
| K a | 應用係數 | |
| K f | 磨損壽命係數 | |
| K w | 應用係數 | |
| K m | 負載分配係數 | |
| S v | 理想的安全度 | |
| d | 軸直徑 [mm] | |
| N | 槽數目 [-] | |
| h | 起槽高度 | |
| s | 「倒角」 | |
| h st | 接頭高度 h st = h - 2 s [mm] | |
| l f | 有效鍵長度 [mm] | 
強度檢查
p min ≤ p Ds
p min ≤ p Dh
其中:
| p min | 計算的最小 h/2 壓力 [MPa] | |
| p Ds | 桿中容許的壓力 [Mpa] | |
| p Dh | 輪轂中容許的壓力 [Mpa] |