為確定需要的皮帶數,或對皮帶傳動裝置執行強度檢查,該應用程式會將皮帶額定功率與要傳輸的功率進行比較。若要取得皮帶額定功率,將使用基本皮帶額定功率,並透過由給定皮帶傳動裝置配置確定的特定係數對其進行修正。
基準皮帶額定功率 P BR
基本皮帶額定功率由在 XML 資料表中定義並儲存在 Design Data 資料夾中的公式來確定。V 型皮帶產生器中提供的每個皮帶均由特定 XML 檔案 (其包含所有皮帶的可用大小和所需的機械性質) 進行描述。公式中使用的基本功率公式和係數從標準建議中取得,其可能與實際製造商資料不同。您可以自訂基本皮帶額定功率並提供皮帶製造商目錄中的真實資料。通常,標準建議的額定功率比較保守,並為皮帶製造商替代件提供可能的層級,但皮帶傳動裝置可能會過度設計。
通常,基本皮帶額定功率為最小皮帶輪 (驅動或從動皮帶輪) 的速度、節圓直徑和速率的函數。
P RB = F(n j , D Pj , i j )
皮帶額定功率 P R
P R = P RB c 1 c 3 c 4 c 5
合成服務係數
 
如果合併服務係數 C PR < C p ,強度檢查將失敗
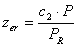
需要的皮帶數
 
過拉檢驗
皮帶允許的最大拉力將確定為
 
如果 F max < F t max 或 F max < F t ,強度檢查將失敗
有效皮帶速度和彎曲頻率檢驗
如果皮帶彎曲頻率 f b > f max ,則可能出現效率降低或皮帶提前損毀的情況。將顯示錯誤警告。
如果皮帶速度 v > v max ,則會因皮帶不適合於這種速度而顯示錯誤警告。
所用變數的意義:
| f max | 最大皮帶屈曲頻率 [Hz] | 
| f b | 給定皮帶驅動的皮帶屈曲頻率 [Hz] | 
| n | 給定皮帶輪的速度 [rmp] | 
| D P | 平皮帶輪標稱外徑 [m] | 
| i | 給定皮帶輪的傳輸比 (速率) [-] | 
| c 1 | 接觸弧修正係數 [-] | 
| c 2 | 服務係數 [-] | 
| c 3 | 皮帶長度修正係數 [-] | 
| c 4 | 皮帶數修正係數 [-] | 
| c 5 | 皮帶輪數修正係數 [-] | 
| z | 皮帶數目 [-] | 
| P R | 給定傳輸配置的皮帶額定功率 [W] | 
| P | 要傳輸的功率 [W] | 
| v | 皮帶速度 [m/s] | 
| v max | 容許的最大皮帶速度 [m/s] |