 
接觸壓力
 
最小輪轂長度
 
建議值:L = (0.6 - 3) d
單一螺栓承受的力
 
強度檢查
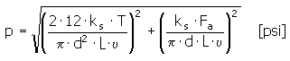
p ≤ p A
其中:
| F a | 軸向力 [lb] | |
| T | 扭矩 [lb ft] | |
| d | 軸直徑 [in] | |
| p | 接合中的接觸壓力 [psi] | |
| p A | 允許的壓力 [psi] | |
| L | 輪轂長度 [in] | |
| υ | 鉗緊係數 υ = 0.008 至 0.1 [-] | |
| k s | 滑動安全 [-] | |
| F | 單一螺栓承受的力 [lb] | |
| F s | 所有螺栓承受的力 [lb] | |
| i | 螺栓總數 [-] |