鏈條建構
滾子鏈產生器用於設計帶有滾子鏈和套筒鏈的鏈傳動裝置。鏈可以是單節或多節。還支援雙節距鏈。滾子鏈和套筒鏈的典型建構如下圖所示。它們之間的主要區別在於套筒鏈沒有滾子。
| 
 套筒鏈元件 | 
 滾子鏈元件 | 
| 
 | |
如果鏈長度為偶數個節距,則可以使用接頭連結將鏈兩端連接在一起。通常,鏈動力能力不會降低。
如果鏈長度為奇數個節距,則可在鏈的一端使用偏移連結。然後即可使用接頭連結將鏈的兩端連接在一起。通常,偏移連結會降低鏈動力能力。功率降低量取決於偏移連結的類型和建構。考量到鏈動力能力降低,您需要減小鏈建構係數。
重複的負載張力
鏈傳動裝置中的鏈是透過循環張力載入的,所以鏈很容易疲勞。典型負載圖如下圖所示。對於不同的傳動裝置配置,負載圖可能不同。
| 
 | 
磨損
在滾子鏈傳動裝置設計中,磨損非常重要。通常,滾子鏈受鏈接頭磨損和鏈輪磨損的影響最大。
鏈接頭磨損會導致滾子鏈變長。滾子鏈的鏈輪設計為最大可接受 3% (雙節距鏈為 1.5%) 的鏈磨損導致的延長。如果鏈延長超過該點,則鏈將不再與鏈輪相配合,並且系統將無法正常作業。對於有固定中心距離的大型鏈輪或傳動裝置,鏈接頭磨損條件可能不同。如果要更換磨損的鏈條,建議同時也更換鏈輪。
| 
 鏈接頭磨損 | 
鏈輪磨損指齒形的改變。齒開始變成鉤形。對於惰輪鏈輪,通常在齒隙底部發生磨損。當齒隙磨損達到足夠的深度時,鏈滾子可能在進入和離開惰輪鏈輪時與齒的頂部發生勾碰。鏈輪磨損可導致在鏈中產生衝擊負載。在軸上反轉鏈輪有時可延長磨損鏈輪的壽命。
| 
 磨損的滾子鏈傳動裝置鏈輪 | 
 磨損的滾子鏈惰輪鏈輪 | 
潤滑
必須為鏈傳動裝置提供良好的潤滑才能使鏈的壽命達到最大。有效的潤滑是指在最需要潤滑的位置使用正確的潤滑油。主要問題是將足夠的清潔潤滑油加注到銷、襯套和滾子的軸承表面。
| 
 | 手動潤滑:至少每作業 8 小時即使用刷子和油壺加注充足的油。驅動裝置已停止,並且已鎖住其功率。量和頻率應足以防止鏈過熱或鏈接頭中產生紅褐色 (鏽) 污點。 | 
| 
 | 滴油潤滑:使油從滴油器連續不斷地滴到連結板的上邊或側板上。加注潤滑油的量和頻率應足以防止鏈接頭中產生紅褐色 (鏽) 污點。通常,滴油的速率為每分鐘 4 到 20 滴或更多。必須採取避免因風力而影響油滴方向的預防措施。 | 
| 
 | 油池潤滑:鏈條的下部鏈節從傳動裝置罩內的油箱中穿過。油層應達到作業時鏈節距線的最低點。 | 
| 
 | 油盤潤滑:鏈條在油層上方作業。油盤從油箱中吸取油,然後將其加注到鏈條上 (通常會有一些油漏回到油箱中)。油盤的直徑應該能夠產生足夠的邊速度,以便有效地吸取潤滑油。過高的速度可導致潤滑油產生泡沫和過熱。 | 
| 
 | 給油潤滑:潤滑油由能夠為鏈傳動裝置提供連續油路的循環泵提供。潤滑油應導入鬆弛鏈節並加注在鏈環內部,並且應均勻佈滿整個鏈寬,以確保潤滑油佈滿所有軸承表面。如有必要,可以使用油冷卻器和濾油器。 | 
潤滑油應沒有雜質,尤其是磨蝕顆粒。
鏈傳動裝置潤滑油黏度等級應根據環境溫度定義如下:
| 環境溫度 [°C] | -5 ≤ t ≤ +5 | +5 ≤ t ≤ +25 | +25 ≤ t ≤ +45 | +45 ≤ t ≤ +70 | 
| 潤滑油黏度等級 | VG 68 (SAE 20) | VG 100 (SAE 30) | VG 150 (SAE 40) | VG 220 (SAE 50) | 
依據鏈大小和速度建議的充分潤滑如以下圖表所示:
| 
 | 其中: | 
| A) 手動潤滑的範圍。最大鏈速度為 ν = 2.8 p -0.56 | |
| B) 滴油潤滑的範圍。最大鏈速度為 ν = 7 p -0.56 | |
| C) 油池潤滑或油盤潤滑的範圍。最大鏈速度為 ν = 35 p -0.56 | |
| D) 給油潤滑的範圍 | 
根據潤滑品質,在鏈服務壽命期間,鏈接頭磨損的進度如下圖所示:
 
其中:
| a | 污染磨蝕環境中的無潤滑鏈 | |
| b | 未充分潤滑的鏈 | |
| c | 充分潤滑的鏈 | 
通常,在鏈開始服務時,磨損進度很快,此階段稱為初期磨損。透過預載鏈 (某些製造商這樣做) 可以初期磨損降至最低程度。預載可延長鏈服務壽命。
雖然之後鏈接頭仍會磨損,但進度較慢,此階段稱為正常磨損。如果鏈能夠充分潤滑,則鏈接頭磨損仍表現為正常磨損,最終直至其使用壽命結束。在鏈條有用壽命的結尾,鏈接頭磨損的速度會再次提高。
鏈條的極限抗拉強度 F U
鏈的極限抗拉強度是鏈斷裂之前在單一應用中可承受的最大負載。它既不是允許的工作負載,也不是測量負載。最小極限強度規格的主要值用來確保鏈條已經正確組合。滾子鏈產生器使用最小極限抗拉強度來確定防止鏈斷裂的安全係數。此外,參與計算預期鏈連結服務壽命或連結板疲勞時還使用其他係數。
極限抗拉強度的預設值取自針對指定鏈大小的標準建議,但是您可能需要根據鏈製造商提供的規格考量此參數。由於生產商和鏈材料不同,相同大小的鏈也可能有不同的抗拉強度。
特定鏈條質量 m
鏈的比重取決於鏈的大小、建構和材料。預設值取自標準建議,或最接近於鏈製造商生產的鋼鏈的值。特定質量用於離心力計算及震動分析。
鏈條建構係數 Φ
鏈建構係數說明了鏈的實際品質。它對鏈額定功率以及鏈的允許軸承區域壓力有直接影響。係數通常等於一。如果製造鏈條的材料強度較高,或鏈條的品質高於國家標準所規定的品質,則此係數大於一。
鏈條額定功率 P R
鏈額定功率表示特定作業條件下的鏈額定容量。通常,鏈容量受連結板疲勞、滾子與襯套衝擊疲勞以及銷與襯套之間的毛邊的限制。請參閱以下影像中的典型額定功率圖表。
 
其中:
| A | 鏈傳動裝置動力能力受連結板疲勞限制 | |
| B | 鏈傳動裝置動力能力受滾子與襯套衝擊疲勞限制 | |
| C | 鏈傳動裝置動力能力受銷與襯套毛邊限制 | 
功率修正係數
鏈額定功率方程式提供了在特定正常作業條件下工作的鏈傳動裝置的有效動力能力。如果鏈傳動裝置在不同於正常作業條件的工作條件下工作,則需要採用功率修正係數,如以下所描述。
正常作業條件:
ISO 鏈為 120 個節距,
ANSI、CSN 鏈為 100 個節距;
ISO、ANSI、DIN 鏈為 15000 小時,
CSN 鏈為 10000 小時;
衝擊係數 Y
服務係數用於根據鏈傳動裝置的作業條件、驅動特性和從動特性,考量動態超載。衝擊係數用於確定服務係數的大小以及動態安全係數。驅動機器和從動機器的大慣性力矩可導致由非預期衝擊和峰值超載引起的峰值負載大幅增加。依預設,鏈產生器將使用下表確定衝擊係數。
| Y | 適用情況 | 
| 1.0 | 順暢運轉 | 
| 1.5 | 順暢運轉但偶有衝擊 | 
| 2.0 | 輕度衝擊,中度臨時峰值超載 | 
| 3.0 | 中度衝擊,重度臨時峰值超載 | 
| 4.0 | 重度衝擊,中度固定峰值超載 | 
| 5.0 | 重度衝擊,重度固定峰值超載 | 
服務係數 f 1
服務係數考量了由鏈傳動裝置作業條件決定,以及由驅動元素和從動元素的本質而產生的動態超載。可直接選取係數值或使用下表。
| 從動機器特性 | 驅動機器特性 | ||
| 順暢運轉 | 輕度衝擊 | 中度衝擊 | |
| 順暢運轉 | 1.0 | 1.1 | 1.3 | 
| 中度衝擊 | 1.4 | 1.5 | 1.7 | 
| 重度衝擊 | 1.8 | 1.9 | 2.1 | 
驅動機器特性定義
| 驅動機器特性 | 機器類型範例 | 
| 順暢運轉 | 電動機、蒸汽渦輪和燃氣渦輪以及帶有液力耦合器的內燃機 | 
| 輕度衝擊 | 內燃式引擎帶有六個 (或更多) 汽缸並帶有機械管接頭,電動馬達需要頻繁啟動 (每天兩次以上) | 
| 中度衝擊 | 內燃式引擎配備的汽缸在六個以下,並帶有機械管接頭 | 
從動機器特性定義
| 從動機器特性 | 機器類型範例 | 
| 順暢運轉 | 離心泵和壓縮機、印刷機、均勻負載帶式輸送機、紙日曆、電扶梯、液體攪拌機、混拌機、旋轉乾燥機、風扇 | 
| 中度衝擊 | 往復泵和壓縮機 (帶有三個或更多汽缸)、混凝土混拌機器、非均勻負載輸送機,固體攪拌機和混拌機 | 
| 重度衝擊 | 挖掘機;滾式和球式銑機;橡膠處理機器;鉋床、壓榨機、剪切機、泵、帶有一個或兩個汽缸的壓縮機、油鑽孔環 | 
依預設,服務係數依據衝擊係數確定,如以下圖表所示:
 
其中:
| Y | 衝擊係數 [-] | 
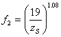
鏈輪大小係數 f 2
鏈輪大小係數包括小鏈輪上的齒數。如果額定功率方程式考量了傳動裝置中最小鏈輪的齒數,則該係數等於一。最小鏈輪的大小可能對鏈額定功率的每個部分均有特定影響。
如果自訂鏈額定功率,則還需要修訂鏈輪大小係數。如果根據最小鏈輪的齒數透過額定功率表指定額定功率,則該係數還應等於一。如果提供的額定功率取自額定功率圖表,而其中未考量最小鏈輪的齒數,則您可能需要調整該係數的大小。鏈輪大小係數會影響設計功率。依預設,鏈產生器將係數大小確定為
 
 
其中:
| z s | 小鏈輪上的齒數 [-] | 
多鏈節係數 f 3
依預設,單節數鏈的額定功率由額定功率方程式指定。多鏈節鏈的額定功率等於單鏈節額定功率乘以多鏈節係數。依預設,該程式會使用內建的表格,如下表所示。多節數係數還用於預期服務壽命分析。
| 鏈節數 | 1 | 2 | 3 | 4 | 5 | 6 | 
| f 3 [-] | 1 | 1.7 | 2.5 | 3.3 | 3.9 | 4.6 | 
潤滑係數 f 4
潤滑係數可告訴程式不充分潤滑影響鏈動力能力及服務壽命的程度。如果選取充分的潤滑,則該係數大小等於一,而這並不影響分析。如果必須使用不充分的潤滑,則該係數會降低鏈額定功率 (受銷與襯套毛邊限制),或者該係數會增加整體設計功率。依預設,程式使用以下內建表格來指示所選潤滑的影響。
| 鏈條速度 [m/s] | 潤滑係數 [-] | |||
| 潤滑 | 無潤滑 | |||
| 建議的 | 不充分 | |||
| 清潔環境 | 污染環境 | |||
| 最大為 4 | 1 | 0.6 | 0.3 | 0.15 | 
| 最大為 7 | 0.3 | 0.15 | 不可接受 | |
| 最大為 12 | 不可接受 | |||
| 大於 12 | ||||
中心距離係數 f 5
最小中心距離是鏈輪外徑總和的一半,以避免齒間干涉。若要確保小鏈輪上有充分的折繞 (大約為 120 度),建議最小中心距離為大鏈輪的外部直徑總和加上小鏈輪外部直徑的一半。
將中心距離設為鏈節距的 30 到 50 倍是很好的方法。最長的實際中心距離約為鏈節距的 80 倍,因為鏈垂度和懸鏈張力會變得很大。
中心距離係數可修正設計功率並考量實際中心距離和正常中心距離的差異。中心距離係數的依據來自負載張力分配的改變和它對鏈疲勞的影響。依預設,中心距離係數確定如下。
 
其中:
| f 5 | 中心距離係數 [-] | |
| X B | 正常作業條件下的鏈連結數 [-] | |
| X | 傳動裝置中鏈連結的實際數目 [-] | 
比率係數 f 6
比例係數可修正設計功率並考量傳輸比和正常傳輸比的差異。比率係數的依據來自負載張力分配的改變和它對鏈疲勞的影響。依預設,比率係數依據實際傳輸比從以下圖表中確定。
 
傳輸比由驅動鏈輪和從動鏈輪的齒數指定。
z 1 < z 2 時,i = z 2 / z 1
z 1 > z 2 時,i = z 1 / z 2
其中:
| f 6 | 比率係數 [-] | |
| i | 傳輸比 [-] | |
| z 1 | 驅動鏈輪的齒數 [-] | |
| z 2 | 從動鏈輪的齒數 [-] | 
服務壽命係數 f 7
服務壽命係數可修正設計功率並考量所需服務壽命和正常服務壽命的差異。依預設,比率係數確定為
 
其中:
| f 7 | 服務壽命係數 [-] | |
| L h | 所需服務壽命 [小時] | |
| L hB | 正常預期服務壽命 [小時] | 
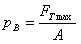
鏈軸承區域壓力分析
在鏈傳動裝置服務期間,波動張力負載作用於銷和襯套之間的接觸表面,這會產生特定大小的鏈軸承區域壓力。如果此壓力超過鏈軸承區域中的允許壓力,則鏈服務壽命可能會明顯縮短。鏈軸承區域中的實際壓力值是透過鏈跨距中的最大張力而計算的,如下所示
 
其中:
| p B | 鏈軸承區域中的實際壓力 [Pa] | |
| F Tmax | 已知鏈跨距中的最大張力 [N] | |
| A | 鏈軸承區域 [m 2 ] | 
鏈軸承區域 A
鏈軸承區域由內部鏈連結的寬度和銷直徑定義。XML 資料檔案中定義了每個鏈的實際值。
| 
 | A = b 2 d 2 | 
| 其中: | |
| A 鏈軸承區域 [m 2 ] | |
| b 2 內部鏈連結的寬度 [m] | |
| d 2 鏈銷直徑 [m] | 
鏈軸承區域中的允許壓力 p 0
以下圖表顯示的鏈軸承區域中的允許壓力值僅適用正常作業條件。對於特定作業條件,可透過特定摩擦係數 λ 修正該值,這樣即可得出總允許壓力。然後可將總允許壓力與鏈軸承區域中的實際壓力進行比較。
此處指定的允許壓力可用於一般鋼鏈。對於由不同材料製成的鏈條,您可能需要相應地調整允許壓力。
 
也可透過鏈條建構係數修正從以上圖表中取得的允許壓力,以按如下所示定義允許壓力值
p 0 = p B0 φ
其中:
| p 0 | 正常作業條件下鏈軸承區域中的允許壓力 [Pa] | |
| p B0 | 正常作業條件下鏈軸承中特定的允許壓力 [Pa] | |
| φ | 鏈建構係數 [-] | 
特定摩擦係數 λ
特定摩擦係數可修正鏈軸承區域中的允許壓力。該係數的大小取決於實際作業條件不同於正常作業條件的程度,並將其定義為
 
其中:
| λ | 特定摩擦係數 [-] | |
| f 1 | 服務係數 [-] | |
| f 4 | 潤滑係數 [-] | |
| f 5 | 中心距離係數 [-] | |
| f 6 | 比率係數 [-] | |
| f 7 | 服務壽命係數 [-] |