Distributed Resistance Models

Analysis Characteristics

Reference

White, F.M., “Fluid Mechanics”, McGraw-Hill, New York, 1979, pp. 305-360

Idelchik, I.E., “Handbook of Hydraulic Resistance”, CRC Press, 1994, pp. 523

Problem Description

Air flows through a 3D channel with slip walls with a filter (or some flow obstruction) in the center of the channel. The pressure drop across the channel is due to only the obstruction because the walls have slip conditions.

All 4 distributed resistance models are tested:

1. Constant K factor:

K = 1.97748

At the specified pressure drop, this K factor should result in a flow rate of 0.2 m3/s.

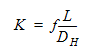
2. Pipe friction loss:

where is the friction factor for which we use a Blasius formula for the friction factor. L = 41.99 is the pipe length to be represented, and DH = 0.2 is hydraulic diameter of the pipe. The Blasius formula used to determine the friction factor is:

where a is 0.316 and b is 0.25. These values should result in an equivalent K-factor value of 1.97748. Hence, we can expect a flow rate 0.2 m³/s.

3. Free area ratio

For this resistance type, we use the formula from page 516 in Idelchik:

where FAR is the free area ratio. For a free area ratio of 0.62, we get a K factor of 1.9774 and thus a flow rate of 0.2 m³/s.

4. Head-loss table K factor:

We use the following table of values:

Flow Rate (m3/sec)Pressure Head (Pa)
0.1535000
0.2545000

Geometry and Boundary Conditions

Results

Distributed Resistance TypeBenchmark2018: Build 20170308% Error2019: Build 20180130% Error
Constant K0.2 m3/s0.19970.1430.19611.95
Pipe Friction Loss0.2 m3/s0.21718.5690.1982.896
Free Area Ratio0.2 m3/s0.19970.1430.19611.95
Head Loss Table0.2 m3/s0.19791.04750.1999.004