Friction Factor
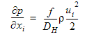
The friction factor method can be used to simulate a long length of tube or pipe. In this method, the excess pressure drop is written as:

where f is the friction factor and D*H*** is the hydraulic diameter.
- On the Material Editor, select the desired direction, and choose Friction Factor as the Variation Method.
- Enter the Hydraulic Diameter, the simulated Pipe Length and the desired units.
Note: The hydraulic diameter and the simulated pipe length are required properties for both methods.
- Select the friction factor Correlation method, Moody or
:
Method 1 Moody
The Moody formula is used to calculate the friction factor. Enter the Obstruction Roughness Height in the correct length units.
Method 2 
The friction factor is determined from
.
The Reynolds number is based on the hydraulic diameter of the pipe. Enter the coefficients a and b.
Note: The friction factor is dimensionless but the hydraulic diameter should be entered in the correct length units.