Autodesk® CFD provides a numerical solution of the Navier-Stokes (N-S) equations. The N-S equations assume that the fluid can be treated as a continuum. In some vacuum flows or very low pressure flows, the flow is no longer a continuum and individual fluid molecules must be considered. This assumption becomes inaccurate as the characteristic dimension of the flow path drops below 10 times the mean free path of the fluid.
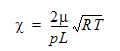
We can characterize the mean free path using,
, a non-dimensional value defined as:

The symbols are defined:
| Symbol | Description |
![]() | non-dimensional vacuum number |
![]() | absolute viscosity at STP |
| p | static pressure |
| L | characteristic length (hydraulic diameter) |
| R | gas constant |
| T | temperature |
The table below shows the range of
for which the Navier-Stokes equations are applicable to the flow:
Range | Flow Description |
< 0.014 | The flow is a continuum and governed by the Navier-Stokes equations |
0.014 < <1.0 | The flow is slip flow where it slips along surfaces, but can still be approximated by the Navier-Stokes equations. |
>1.0 | The flow is no longer a continuum and cannot be represented by the Navier-Stokes equations. |