Roztečná délka řemene je dána počtem zubů řemenu a obvodovou roztečí. Trajektorie řemene je založena na pozici jednotlivých řemenic. Roztečný průměr každé řemenice je určen na základě následujících rovnic. Pozice posuvné řemenice je upravena, aby bylo splněno kritérium standardní délky řemene. Výpočet používá přírůstkové řešení k nalezení vhodné pozice posuvné řemenice, která je nejblíže požadované pozici posuvné řemenice.
Určení přesného průměru stoupání
|
|
Ozubená řemenice ve směru hodinových ručiček nebo dvojstranný řemen |
|
|
|
|
|
Plochá řemenice ve směru hodinových ručiček nebo dvojstranný řemen |
|
D p = D + 2(a + h t ) |
|
|
|
Synchronní řemenice proti směru hodinových ručiček nebo jednostranný řemen |
|
D p = D 0 + 2(H - a - h t ) |
|
|
|
Plochá řemenice proti směru hodinových ručiček nebo jednostranný řemen |
|
D p = D + 2(H - a - h t ) |
Příklad převodu výkonu se dvěma řemenicemi
Úhel opásání
Roztečná délka řemene
Vzdálenost os
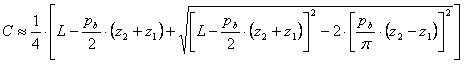
Následující vzorec je doporučen při určování vzdálenosti os nového pohonu
0,2 p b (z 1 + z 2 ) ≤ C ≤ 0,7 p b (z 1 = z 2 )
Význam použitých proměnných:
|
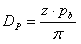
z |
Počet zubů dané řemenice / Počet zubů řemenu [-] |
|
p b |
Obvodová rozteč [m] |
|
D |
Jmenovitý průměr ploché řemenice [m] |
|
a |
Odsazení roztečné čáry [m] |
|
h t |
Výška zubu řemenu [m] |
|
D 0 |
Vnější průměr ozubené řemenice [m] |
|
H |
Výška řemenu [m] |
|
C |
Vzdálenost os dané řemenice a hnací řemenice [m] |
| β |
Úhly opásání [stupně] |