Přenášený krouticí moment
kde:
|
P |
přenášený výkon [kW] |
|
|
n |
otáčky [min - 1 ] |
Tlak v opěrné ploše drážky
1. vnitřní průměr hřídele d h > 0
a)
b) je-li d min ≤d h -> d min = 1,1 d h [mm]
c) je-li d min ≤ 1,5 d h -> d min = 1,5 d h [mm]
2. vnitřní průměr hřídele d h = 0
kde:
|
d min |
minimální průměr hřídele [mm] |
|
|
d h |
vnitřní průměr hřídele [mm] |
|
|
T |
krouticí moment [Nm] |
|
|
K a |
koeficient použití |
|
|
K f |
koeficient životnosti |
|
|
S v |
požadovaná bezpečnost |
|
|
τ Al |
dovolené napětí ve smyku |
Minimální délka splinů k přenosu krouticího momentu
|
1. Pevné spojení: |
![]() |
|
2. Pružné spojení: |
![]() |
|
kde: |
|
T |
krouticí moment [Nm] |
|
|
K a |
koeficient použití |
|
|
K f |
koeficient opotřebení |
|
|
K w |
koeficient použití |
|
|
K m |
koeficient rozložení zatížení |
|
|
S v |
požadovaná bezpečnost |
|
|
d s |
střední průměr = (D + d) / 2 [mm] |
|
|
D |
vnější průměr drážkového profilu [mm] |
|
|
d |
vnitřní průměr drážkového profilu [mm] |
|
|
N |
počet drážek [-] |
|
|
h |
výška drážky = (D - d) / 2 [mm] |
|
|
s |
zkosení [mm] |
|
|
h st |
Výška spojení h st = h - 2 s [mm] |
|
|
p Dmin |
dovolený tlak v opěrné ploše hřídele nebo drážky [MPa] |
Přípustný tlak
|
1. Pevné spojení: |
![]() |
|
2. Pružné spojení: |
![]() |
|
kde: |
|
T |
krouticí moment [Nm] |
|
|
K a |
koeficient použití |
|
|
K f |
koeficient opotřebení |
|
|
K w |
koeficient použití |
|
|
K m |
koeficient rozložení zatížení |
|
|
S v |
požadovaná bezpečnost |
|
|
d s |
střední průměr = (D + d) / 2 [mm] |
|
|
D |
vnější průměr drážkového profilu [mm] |
|
|
d |
vnitřní průměr drážkového profilu [mm] |
|
|
N |
počet drážek [-] |
|
|
h |
výška drážky = (D - d) / 2 [mm] |
|
|
s |
zkosení [mm] |
|
|
h st |
Výška spojení h st = h - 2 s [mm] |
|
|
l f |
funkční délka pera [mm] |
Pevnostní kontrola
p min ≤ p ds
p min ≤ p dh
kde:
|
p min |
minimální vypočtený tlak h/2 [MPa] |
|
|
p ds |
dovolený tlak v hřídeli [MPa] |
|
|
p dh |
dovolený tlak v náboji [MPa] |
Metrický výpočet dle ČSN 01 4950
Ohybové napětí
kde:
|
s sf |
tloušťka paty zubu hřídele na tětivě |
s sf = 2,17m |
|
|
h |
výška zubu hřídele |
h = 1,1m - 0.05 |
středění na boky zubů, ploché dno drážky |
|
h = 1,28m - 0,05 |
středění na boky zubů, zaoblené dno drážky |
||
|
h = 1,2 m |
vnější středění |
Tlak v opěrné ploše drážky
kde:
|
h n |
nosná výška drážkování |
h n = 0.9 m - 0,05 |
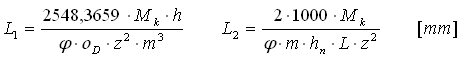
Minimální délka drážkování
L min = max {L 1 , L 2 } [mm]
kde:
Doporučené hodnoty: L = (0,8 - 1,6) D
Kontrola drážkování
p ≤ p d a σ≤σ d
kde:
|
P |
přenášený výkon [kW] |
|
|
n |
otáčky [min - 1 ] |
|
|
z |
počet zubů [-] |
|
|
p D |
dovolený tlak na styčných plochách zubů [MPa] |
|
|
σ D |
dovolené napětí v ohybu [MPa] |
|
|
L |
činná délka drážkovaného spoje [mm] |
|
|
D |
jmenovitý průměr drážkování [mm] |
|
| ϕ |
součinitel styku boků zubů |